Найти в Дзене

№ 827 ( в ) и 828 ( в ) из учебника по алгебре для 7-го класса (автор Ю. Н. Макарычев)

Куб суммы и куб разности двух выражений Уважаемые мамы и папы, дедушки и бабушки! На примерах решений номеров № 827 ( в ) и 828 ( в ) из 8-го издания учебника по алгебре для 7-го класса авторов Ю. Н. Макарычева, Н. Г. Миндюк, К. И. Нешкова и С. Б. Суворова под редакцией С. А Теляковского предлагаю вспомнить возведение в куб суммы и разности двух выражений. № 827 ( в ): Решение: В главе V §12 п. 32 учебника на странице 165 даётся тождество, которое называют формулой куба суммы: куб суммы двух выражений равен кубу первого выражения плюс утроенное произведение квадрата первого выражения и второго плюс утроенное произведение первого выражения и квадрата второго плюс куб второго выражения. Доказательство этой формулы приводить не будем – это уже сделали авторы учебника (при этом они использовали правило умножения многочлена на многочлен), а просто используем её для решения нашего примера: № 828 ( в ): Решение: В главе V §12 п. 32 учебника на странице 165 даётся тождество, которое называют ф
Оглавление

Куб суммы и куб разности двух выражений

Уважаемые мамы и папы, дедушки и бабушки!

На примерах решений номеров № 827 ( в ) и 828 ( в ) из 8-го издания учебника по алгебре для 7-го класса авторов Ю. Н. Макарычева, Н. Г. Миндюк, К. И. Нешкова и С. Б. Суворова под редакцией С. А Теляковского предлагаю вспомнить возведение в куб суммы и разности двух выражений.

№ 827 ( в ):

Решение:

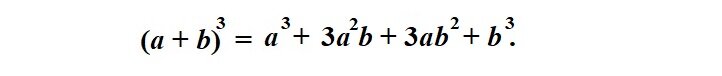
В главе V §12 п. 32 учебника на странице 165 даётся тождество, которое называют формулой куба суммы: куб суммы двух выражений равен кубу первого выражения плюс утроенное произведение квадрата первого выражения и второго плюс утроенное произведение первого выражения и квадрата второго плюс куб второго выражения.

-2

Доказательство этой формулы приводить не будем – это уже сделали авторы учебника (при этом они использовали правило умножения многочлена на многочлен), а просто используем её для решения нашего примера:

-3

№ 828 ( в ):

-4

Решение:

В главе V §12 п. 32 учебника на странице 165 даётся тождество, которое называют формулой куба суммы: куб разности двух выражений равен кубу первого выражения минус утроенное произведение квадрата первого выражения и второго плюс утроенное произведение первого выражения и квадрата второго минус куб второго выражения.

-5

Доказательство этой формулы приводить не будем – это уже сделали авторы учебника (при этом они использовали правило умножения многочлена на многочлен), а просто используем её для решения нашего примера:

-6