Добавить в корзинуПозвонить
Найти в Дзене

Модифицированная скидка на торг при оценке недвижимости сравнительным подходом

При оценке объектов недвижимости методом сделок в связи с дефицитом открытой и доступной информации по фактическим завершенным сделкам оценщики в качестве базы для расчетов используют цены предложений из объявлений. В то же время по определению рыночная стоимость - это расчетная сумма, на которую актив может быть обменен на дату оценки между желающим покупателем и желающим продавцом в рамках сделки "на расстоянии вытянутой руки", после надлежащего маркетинга и когда каждая из сторон действовала со знанием дела, осмотрительно и без принуждения
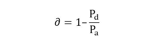
То есть предполагается, что в ходе того самого надлежащего маркетинга и в течение срока экспозиции, типичного для того или иного вида актива, цена фактической сделки будет ниже изначально предложенной цены. Зафиксируем это соотношение как Deal price / Asking price: По сути именно это соотношение используют все участники: аналитики, авторы методических рекомендаций любого уровня (от внутренних документов компаний до банков и Минэкономразвития), оц

При оценке объектов недвижимости методом сделок в связи с дефицитом открытой и доступной информации по фактическим завершенным сделкам оценщики в качестве базы для расчетов используют цены предложений из объявлений. В то же время по определению рыночная стоимость - это расчетная сумма, на которую актив может быть обменен на дату оценки между желающим покупателем и желающим продавцом в рамках сделки "на расстоянии вытянутой руки", после надлежащего маркетинга и когда каждая из сторон действовала со знанием дела, осмотрительно и без принуждения

То есть предполагается, что в ходе того самого надлежащего маркетинга и в течение срока экспозиции, типичного для того или иного вида актива, цена фактической сделки будет ниже изначально предложенной цены. Зафиксируем это соотношение как Deal price / Asking price:

Стандартная формула скидки на торг
Стандартная формула скидки на торг

По сути именно это соотношение используют все участники: аналитики, авторы методических рекомендаций любого уровня (от внутренних документов компаний до банков и Минэкономразвития), оценщики в отчетах, эксперты в опросах

По нашему мнению некорректно применять единую скидку на торг, даже учитывающую тип актива и его местоположение, игнорируя типичный срок экспозиции для рассматриваемого типа актива и сроков экспозиции
конкретных аналогов. В апреле 2022 года вышли новые Федеральные стандарты оценки (ФСО 2022), которую вступают в силу с 7 ноября 2022 года. В п. 7 ФСО V ("Подходы и методы оценки") в части реализации сравнительного подхода к оценке законодатель явно указывает на то, что оценщику следует учитывать "период экспозиции аналога на рынке и изменение его цены за этот период", то есть появилось и правовое указание на учет периода экспозиции конкретного аналога.

Приведенное соотношение меняется в ходе надлежащего маркетинга, поскольку меняется как психология продавца, который с течением времени готов все больше скидывать (усталость от продажи), так и цена предложения меняется в ходе маркетинга для привлечения большего количества потенциальных покупателей или из-за изначально завышенной цены, а значит брать экстракции с рынка надо с учетом того, сколько времени экспонируется
конкретный аналог. То есть меняется asking price, и соотношение становится переменным:

-3

Дальше мы провели достаточное количество исследований и расчетов; чтобы не перегружать пост излишней информацией, представим сразу результат - формулу для расчета действующей скидки для i-го аналога:

Формула модифицированной скидки на торг
Формула модифицированной скидки на торг
-5

То есть в ходе экспозиции текущая скидка по каждому аналогу будет приближаться к рыночному соотношению цены продажи к цене первичного размещения.

График зависимости скидки от срока экспозиции
График зависимости скидки от срока экспозиции

После того, как будут рассчитаны индивидуальные условно-действующие на дату оценки скидки на торг для каждого аналога, необходимо провести корректировки на торг. В силу определения рыночной стоимости объект оценки уже прошел необходимый период экспонирования и для него скидка условно максимальна, значит корректировку можно представить в виде:

Формула корректировки при оценке
Формула корректировки при оценке
-8

По нашему мнению [а с 7 ноября 2022 года еще и по Федеральным стандартам оценки], при проведении корректировки на завершение сделки (корректировки на торг) следует учитывать период экспонирования аналогов, и корректировки вводить индивидуально для каждого аналога.