Найти в Дзене

Расчет доли участка в стоимости единого объекта недвижимости

Данное исследование было проведено для целей решения задачи оценки застроенного земельного участка методом распределения. Метод описан в частности в Методических рекомендациях Минимущества (Распоряжение 568-р от 06.03.2002), а также в другой методической и околонаучной литературе.
В силу этимологии названия метода — необходимо распределить стоимость единого объекта недвижимости на стоимости составных частей: здание и участок.
Это может потребоваться для формирования условий сделки, когда надо технически разделить сумму сделки для корректного расчета величины НДС (ведь земля в собственности НДС не облагается). Часто такая задача возникает и для целей финансовой отчетности (опять-таки всё из-за земли в собственности — она не амортизируется). Условия применения метода: Метод предполагает следующую последовательность действий: В данном методе всё хорошо: берем аналоги с рынка, проводим корректировки, получаем стоимость; но petra scandali здесь является нахождение той самой доли участка в 

Данное исследование было проведено для целей решения задачи оценки застроенного земельного участка методом распределения. Метод описан в частности в Методических рекомендациях Минимущества (Распоряжение 568-р от 06.03.2002), а также в другой методической и околонаучной литературе.

В силу этимологии названия метода — необходимо распределить стоимость единого объекта недвижимости на стоимости составных частей: здание и участок.
Это может потребоваться для формирования условий сделки, когда надо технически разделить сумму сделки для корректного расчета величины НДС (ведь земля в собственности НДС не облагается). Часто такая задача возникает и для целей финансовой отчетности (опять-таки всё из-за земли в собственности — она не амортизируется).

Условия применения метода:

  • наличие информации о ценах сделок с едиными объектами недвижимости;
  • наличие информации о наиболее вероятной доле земельного участка в рыночной стоимости единого объекта недвижимости;
  • соответствие улучшений земельного участка его наиболее эффективному использованию

Метод предполагает следующую последовательность действий:

  1. определение элементов сравнения единого объекта недвижимости с объектами — аналогами
  2. определение по каждому из элементов сравнения характера и степени отличий
  3. корректировка по каждому из элементов сравнения цен каждого аналога, сглаживающая их отличия от единого объекта недвижимости
  4. расчет рыночной стоимости единого объекта недвижимости путем обоснованного обобщения скорректированных цен аналогов
  5. расчет рыночной стоимости оцениваемого земельного участка путем умножения полученной рыночной стоимости единого объекта недвижимости, включающего в себя оцениваемый земельный участок, на наиболее вероятное значение доли земельного участка в рыночной стоимости единого объекта недвижимости

В данном методе всё хорошо: берем аналоги с рынка, проводим корректировки, получаем стоимость; но petra scandali здесь является нахождение той самой доли участка в едином объекте недвижимости. Где ее взять?

Для этого мы провели анализ цен на участки и коммерческие объекты (торговые, офисные, административно-бытовые, смешанного назначения) в Московском регионе, а также изучили аналитики и обзоры в этой области. Полученные данные апробировали на наших текущих и прошлых проектах по оценке.

В итоге были выявлены и измерены степени влияния двух независимых факторов:

  1. Состояние здания в составе объекта недвижимости (чем лучше состояние здания, тем, соответственно, большую ценность оно имеет в составе объекта, тем больше стоимости оно «оттягивает» на себя)
  2. Плотность или коэффициент застройки. Чтобы не быть зависимым от многих знаний (имеется в виду строительные показатели пятна застройки), под плотностью застройки будем понимать просто отношение общей площади здания к общей площади земельного участка

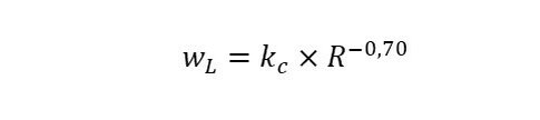
Формулу расчета доли земельного участка в составе единого объекта недвижимости мы лапидарно записали в виде:

Доля стоимости земельного участка в общей стоимости единого объекта недвижимости
Доля стоимости земельного участка в общей стоимости единого объекта недвижимости

Kc — коэффициент состояния объекта:

  • 0,18 для зданий в отличном состоянии
  • 0,23 для зданий в хорошем состоянии
  • 0,28 для зданий в удовлетворительном состоянии

R — коэффициент застройки, равный отношению площади здания к площади земли. На него есть ограничения для получения адекватных результатов - отношение должно быть от 0,15 (при меньших значениях встает вопрос вообще об эффективности застройки)