Найти в Дзене
УЧИМСЯ САМИ

Расчеты у горячего паяльника

Авторская сборка и наладка генератора, а затем оформление схем на него займут некоторое время, поэтому автор счел за лучшее разместить статью о его использовании для настройки колебательных контуров прямо сейчас. Тем более, что возможно некоторые читатели уже сейчас имеют подобный прибор или возможность его где-то одолжить. Итак, главное, для чего радиолюбителю нужен генератор ВЧ - точная настройка колебательных контуров на требуемые частоты, без чего самые разнообразные радиотехнические устройства будут просто неработоспособными. Ведь, к сожалению, практические отклонения резонансной частоты от требуемой очень велики. Вот вы определили реальную резонансную частоту, оказавшуюся весьма далекой от требуемой. Настолько, что имеющимися средствами подстройки (например резьбовым ферритовым подстроечником) невозможно настроить контур куда требуется. Посмотрим же, что можно сделать, на практическом примере: Вы нашли схему в которой есть колебательный контур, выделяющий любительский диапазон 80

Авторская сборка и наладка генератора, а затем оформление схем на него займут некоторое время, поэтому автор счел за лучшее разместить статью о его использовании для настройки колебательных контуров прямо сейчас. Тем более, что возможно некоторые читатели уже сейчас имеют подобный прибор или возможность его где-то одолжить.

Итак, главное, для чего радиолюбителю нужен генератор ВЧ - точная настройка колебательных контуров на требуемые частоты, без чего самые разнообразные радиотехнические устройства будут просто неработоспособными. Ведь, к сожалению, практические отклонения резонансной частоты от требуемой очень велики. Вот вы определили реальную резонансную частоту, оказавшуюся весьма далекой от требуемой. Настолько, что имеющимися средствами подстройки (например резьбовым ферритовым подстроечником) невозможно настроить контур куда требуется. Посмотрим же, что можно сделать, на практическом примере:

Вы нашли схему в которой есть колебательный контур, выделяющий любительский диапазон 80 метров (3,6 МГц). Он наматывается на некоем каркасе и содержит 45 витков провода. Контур также содержит конденсатор в 150 пикофарад. Вы все сделали вроде бы точно по описанию, но с помощью генератора обнаружили, что ваш контур ловит 75-метровый вещательный диапазон - 4,4 МГц. (Вариант: вы хотите перестроить вещательный приемник на радиолюбительский диапазон) Что делать?

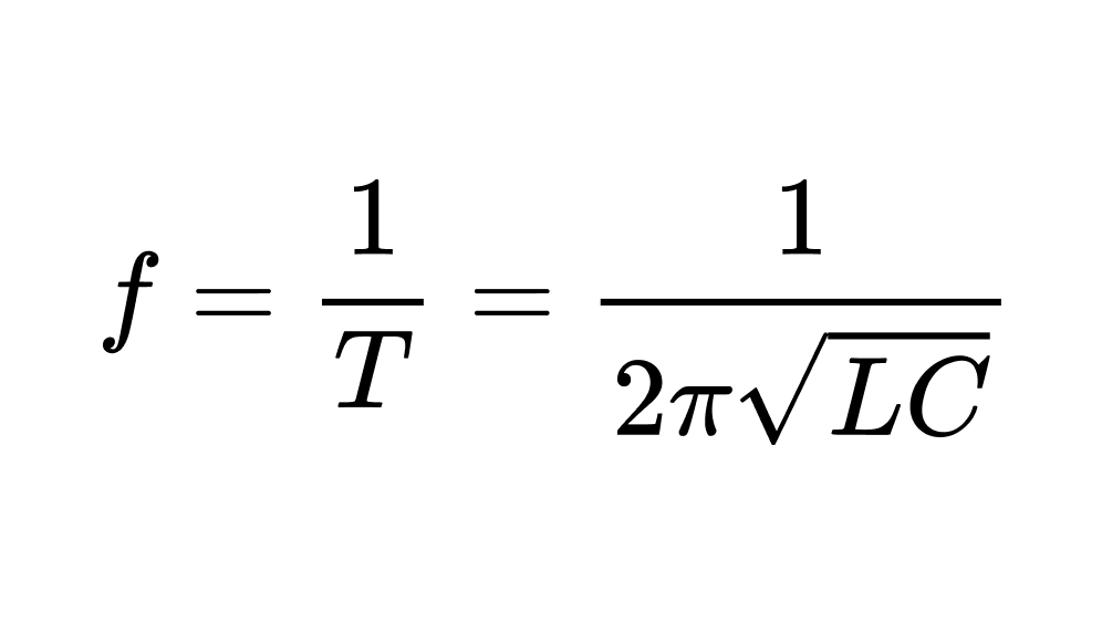
Вспомним школьную формулу частоты колебательного контура.

Как видите, частота обратно пропорциональна корню квадратному из емкости или индуктивности. Значит, для изменения частоты вдвое необходимо изменить емкость или индуктивность вчетверо.

Формулы расчета катушек индуктивности в школе не проходят, тем более, что их много разных, да они и не особо точны. Скажу только, что индуктивность пропорциональна квадрату числа витков. В результате получается, что резонансная частота примерно обратно пропорциональна количеству витков. Так что в нашем примере можно увеличить число витков до 55. Но это все только для того случая, если изменяя число витков вы не сильно измените соотношение между длиной и диаметром катушки. При прочих равных условиях вытянутые катушки имеют меньшую индуктивность, чем короткие большого диаметра. Так что если в нашем примере у вас выйдет, что вы продолжите намотку длинной однослойной катушки, то для должного увеличения индуктивности понадобится добавить еще 1-2 витка.

Если нам неудобно перематывать катушку, то можно изменить емкость контура. Только учтите, что в нее помимо конденсатора входит еще и паразитная емкость монтажа. Так что емкость конденсатора понадобится менять несколько энергичнее, чем по квадрату соотношения частот. Когда-то у автора был доступ к этому советскому цифровому автоматическому измерителю емкости и индуктивности, и он установил, что емкость печатной дорожки средней длины составляет величину порядка 7 пф.

-2

Добавьте эту величину к емкости конденсатора, пересчитайте по квадрату соотношения частот и обратно вычтите емкость монтажа. В нашем примере получается, что емкость конденсатора требуется изменить до 228 пф. Выбираем стандартный номинал в 220 или 240 пф.

Само собой, если в контуре несколько разных конденсаторов, то вам придется определять их общую емкость по школьным формулам для последовательного и параллельного соединения. Если там есть переменный конденсатор, то обсчитайте нужный вам случай - с минимальной, максимальной или некоей средней емкостью.

Попадание после такого пересчета будет не идеальным, но довольно близким. Возможно, вы уже сможете сделать окончательную точную настройку даже на слух. По крайней мере именно так автор в свое время сдвинул диапазон своего приемника, и после этого получил два десятка дипломов, как коротковолновик-наблюдатель.