Добавить в корзинуПозвонить
Найти в Дзене
Хочу в ШАД

Матрицы: новый взгляд на системы линейных уравнений

Понимание математики может быть сложной задачей, особенно когда учебники написаны сложным и непонятным языком. Я, например, готовлюсь к поступлению в Школу Аналитики Данных от Яндекса и перечитываю старые учебники по линейной алгебре. Конечно, упорный труд приносит свои плоды, но, все же, я бы хотел изучать математику по простым и понятным статьям, например, как эта! :) Я хотел посвятить эту статью методу Гаусса. Но подготовительного материала оказалось много, так что я решил разбить эту тему на несколько частей. Если вкратце, то метод Гаусса является одним из наиболее популярных способов решения систем линейных уравнений. Он основывается на преобразовании матрицы коэффициентов системы уравнений к верхнетреугольному виду, что позволяет легко найти решение системы. Звучит сложно, но я постарался максимально упростить статьи для неподготовленного читателя и подготовить его к более сложным темам. Эта статья является подготовкой к тому, как применять метод Гаусса для решения систем линейны
Изображение сгенерировано с помощью midjourney.
Изображение сгенерировано с помощью midjourney.

Понимание математики может быть сложной задачей, особенно когда учебники написаны сложным и непонятным языком. Я, например, готовлюсь к поступлению в Школу Аналитики Данных от Яндекса и перечитываю старые учебники по линейной алгебре. Конечно, упорный труд приносит свои плоды, но, все же, я бы хотел изучать математику по простым и понятным статьям, например, как эта! :)

Я хотел посвятить эту статью методу Гаусса. Но подготовительного материала оказалось много, так что я решил разбить эту тему на несколько частей. Если вкратце, то метод Гаусса является одним из наиболее популярных способов решения систем линейных уравнений. Он основывается на преобразовании матрицы коэффициентов системы уравнений к верхнетреугольному виду, что позволяет легко найти решение системы. Звучит сложно, но я постарался максимально упростить статьи для неподготовленного читателя и подготовить его к более сложным темам. Эта статья является подготовкой к тому, как применять метод Гаусса для решения систем линейных уравнений. Здесь я расскажу о том, что такое матрицы, а в следующей статье мы рассмотрим элементарные преобразования строк для приведения матрицы к верхнетреугольному виду, а потом уже и о методе Гаусса поговорим.

Для начала введем немного определений, чтобы нам было проще ориентироваться в тексте:

Система линейных уравнений – это набор уравнений, в которой каждое уравнение имеет вид линейной функции от нескольких переменных. Если имеется несколько таких уравнений, то их можно записать в матричной форме. Помните задачи из алгебры 8-9 класса, где в двух уравнениях есть две неизвестные и обе нужно найти? Так вот, это и есть система линейных уравнений.

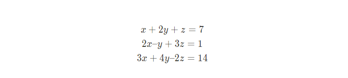
Пример системы линейных уравнений:

рисунок 1. Система уравнений с тремя неизвестными
рисунок 1. Система уравнений с тремя неизвестными

Чтобы записать все то же самое, только в виде матрицы, нам нужно взять систему выше и выбросить из нее буквы, оставив голые коэффициенты. Выглядеть это будет так:

рисунок 2. Матрица размером 3*3 (размерность матрице дают именно количество уравнений и количество неизвестных)
рисунок 2. Матрица размером 3*3 (размерность матрице дают именно количество уравнений и количество неизвестных)

Так и приводятся системы линейных уравнений к матричному виду. Ничего сложного. А сколько пользы! Так можно решать большие и сложные уравнения более просто. Теперь применение математических методов, таких как нахождение ранга матрицы и определителя тоже проще. Кроме того, матричный вид системы линейных уравнений облегчает программирование, делая код более простым для понимания и работы.

В следующей статье поговорим о преобразованиях матрицы, на которых и работает метод Гаусса.