Добавить в корзинуПозвонить
Найти в Дзене
Философия и наука

Апории Зенона и современная наука. Часть 3. История решений и почему абсолютно все решения до сих пор неудовлетворительны

Перед вами третья часть статьи "Апории Зенона и современная наука". Прежде чем продолжить, настоятельно рекомендую ознакомиться с первой частью здесь и со второй частью тут. Обычно все современные оппоненты Зенона (как и в общем-то все последние 200-300 лет с момента изобретения математического анализа) не идут дальше попыток объяснить первую же апорию. Как правило гордые "разоблачители" древнего "умника" удовлетворяются самыми поверхностными способами натянуть сову на глобус и на этом всё заканчивается. К сожалению я такое видел уже слишком много раз в дискуссиях и в Интернете и в реальной жизни. Поэтому мы очень пристально рассмотрим все аргументы, начиная от самых примитивных, против апории "Ахиллес и черепаха". Самый примитивный аргумент заключается в объявлении данного парадокса софизмом, то есть не истинным парадоксом, а ложным, в которым сознательно заложена какая-то ошибка или уловка. На самом деле уже лет 200 как эти апории не считает софизмами никто из серьезных ученых: ни Д.
Оглавление

Перед вами третья часть статьи "Апории Зенона и современная наука". Прежде чем продолжить, настоятельно рекомендую ознакомиться с первой частью здесь и со второй частью тут.

Обычно все современные оппоненты Зенона (как и в общем-то все последние 200-300 лет с момента изобретения математического анализа) не идут дальше попыток объяснить первую же апорию. Как правило гордые "разоблачители" древнего "умника" удовлетворяются самыми поверхностными способами натянуть сову на глобус и на этом всё заканчивается. К сожалению я такое видел уже слишком много раз в дискуссиях и в Интернете и в реальной жизни. Поэтому мы очень пристально рассмотрим все аргументы, начиная от самых примитивных, против апории "Ахиллес и черепаха".

Парадокс как софизм

Самый примитивный аргумент заключается в объявлении данного парадокса софизмом, то есть не истинным парадоксом, а ложным, в которым сознательно заложена какая-то ошибка или уловка.

На самом деле уже лет 200 как эти апории не считает софизмами никто из серьезных ученых: ни Д. Гильберт, ни Б. Рассел, ни Г. Вейль и мн. др. В частности по всему Интернету и во многих статьях об апориях Зенона уже давно ходит цитата одного из величайших математиков всех времен и народов Д. Гильберта:

"Обычно этот парадокс пытаются обойти рассуждением о том, что сумма бесконечного числа этих временных интервалов все-таки сходится и, таким образом, даёт конечный промежуток времени. Однако это рассуждение абсолютно не затрагивает один существенно парадоксальный момент, а именно парадокс, заключающийся в том, что некая бесконечная последовательность следующих друг за другом событий, последовательность, завершаемость которой мы не можем себе даже представить (не только физически, но хотя бы в принципе), на самом деле всё-таки должна завершиться".

Об этом же говорит и современный профессор философии, доктор наук, специалист по логике Д.А. Гусев. Софизм здесь видят только люди, которые еще не успели достаточно глубоко погрузиться в тему. Но нет. Ошибки здесь нет. Апории Зенона логически безупречны и это уже давно общепризнанный факт.

Самый частый аргумент разоблачителей софизма заключается в том, что в апории нет точки встречи Ахиллеса и черепахи, то есть апория составлена так, что Зенон всегда позади и никогда не догоняет черепаху. Но это не ошибка Зенона. В этом и состоит вопрос! А вы, друзья мои, как-то по-другому можете догнать движущийся объект, не побывав в том месте, где объект был ранее, если вы движетесь за ним по прямой? Вы умеете как-то телепортироваться в нужную точку? Дело в том, что даже в математическом анализе результат сходящегося ряда, которым и является погоня Ахиллеса за черепахой, не является частью ряда! То есть точка встречи не принадлежит к самому процессу погони. Нам дан процесс погони, и мы должны найти точку встречи! Но противники Зенона требуют, чтобы мы сразу дали и точку встречи, словно Ахиллес умеет телепортироваться или никакой погони и вовсе нет, а всё движение вместе с точкой встречи уже дано сразу.

Требование включить в задачу точку встречи равносильно требованию включить результат сходящегося ряда в сам ряд, то есть это как раз противоречит математике, а не условию изначальной задачи! Более того, требование включить в задачу точку встречи равносильно показать, как, где и когда бесконечная погоня закончится, то есть бесконечность окажется конечной. Но в этом и состоит вопрос Зенона! Как же так получается, что бесконечность оказывается конечной?

А ведь действительно, если мы включаем точку встречи в процесс погони заранее, это означает, что движения и не было, и весь процесс был дан изначально как нечто завершенное, подобно кадрам кинопленки. Но тогда мы автоматически признаем правоту элеатов: всё, что могло произойти, уже произошло, а воспринимаемое нами, таким образом, движение в пространстве и времени есть не более чем иллюзия.

Сторонники этого подхода, говорят, что мы действительно можем указать бесконечное количество отрезков до момента встречи и якобы в этом всё и дело, что мы бесконечно делим движение именно до момента встречи, но это движение же ограничено моментом встречи. Но если рассуждать так, то мы, получается, имеем дело с движением как чем-то завершенным априори. То есть движение завершено изначально и потому ограничено моментом встречи, и потому его и можно делить бесконечно. То есть мы как бы имеем дело не с потенциальной, а с актуальной бесконечностью, о чем еще будет сказано ниже.

Точка встречи - это и был бы переход бесконечного в конечное, так что такой точки в принципе не знает ни математика, ни физика. Это не Зенон её "выколол", она выколота из всей науки - в том-то и проблема. У нас есть просто данность в матанализе того, что бесконечное сойдется к конечному (об этом подробнее будет ниже), но как именно - неизвестно. Может мир и математика дискретны, может реально есть последнее число, может бесконечность переходит в ноль, а ноль в один - неизвестно. В том-то и проблема. Об этом и говорит Зенон. Не точка встречи выколота, в сам переход от бесконечного к конечному не ясен. Вот о чем спрашивает нас Зенон: каким образом бесконечное переходит в конечное и обратно? Где начало и конец любого движения?

В любом случае получается, что Зенон прав: бесконечная делимость движения возможна только, если оно уже завершено, и точка встречи уже есть изначально, то есть никакого движения нет как процесса, ведь процесс - это потенциальная бесконечность. Но если движение есть именно как процесс, как потенциальная бесконечность, то момент встречи не задан изначально и в итоге недостижим (потому что потенциальная бесконечность никогда не заканчивается) и Зенон снова прав. Тут, простите меня, как говорится, надо либо крестик снять, либо трусы надеть.

Еще сторонники того, что апории - это софизмы, часто говорят, что мы не учитываем кучу параметров, типа размеры тела Ахиллеса и черепахи, энергетические затраты и прочее. Это совсем уже низкий уровень дискуссии. Почему? Да потому что логический парадокс по правилам формальной логики решается только изнутри самого себя. Решение через огромное количество не логических (а например, физических) допущений не является решением парадокса! Если вам не нравится Ахиллес и черепаха, у которых есть тела и они затрачивают энергию при беге, то замените их на формализованные точки и суть не изменится. Но даже если мы признаем, что Ахиллес и черепаха - это конкретные физические тела, которые рано или поздно сталкиваются, мы, во-первых, опять же подразумеваем дискретность (Ахиллес и черепаха дискретны) и отправляемся ко второй паре апорий. Однако даже и на эти аргументы Зенон дал ответ 2500 лет назад даже без отсылки ко второй паре апорий. Зенон говорил, что какими бы физическими параметрами не обладал бы Ахиллес, его нога, даже когда до черепахи останется полметра (один шаг) должна преодолеть бесконечное количество точек внутри этого бесконечно делимого шага, что невозможно логически. Поэтому конкретные физические параметры Ахиллеса и черепахи на самом деле не имеют совершенно никакого значения.

Еще иногда говорят, что Зенон хитрит в том смысле, что заставляет время и скорость Ахиллеса замедляться, или, якобы Ахиллес сам словно уменьшается в размерах. Это ошибка. В апории ничего не замедляется и не уменьшается. Время и шаги в апории про Ахиллеса не замедляются, а, как и пространство, просто бесконечно делятся и это следствие континуальности пространства и времени, из чего и исходит данная апория. Поэтому выйти из этой ситуации можно только через допущение отсутствия бесконечной делимости в реальном мире, но тогда нас ждет вторая пара апорий, о чем уже было сказано выше.

Апории как бессмысленные абстракции

Следующий, всё еще довольно низкий уровень аргументации заключается в том, что апория "Ахиллес и черепаха" - это абстракция, не имеющая отношения к реальному миру. Люди часто используют слово "абстракция" как что-то неважное, несущественное, не имеющее отношения к реальности. Таким людям, я хочу напомнить, что вся математика, на которой стоит наша цивилизация со всеми ее научными и техническими достижениями - это буквально и есть одна большая абстракция. Так почему в апориях Зенона мы видим такое радикальное несоответствие логического и эмпирического?

В 1960 г. квантовый физик Юджин Вигнер написал статью "Необъяснимая эффективность математики в естественных науках". Этой статью Вигнер вновь оживил многовековой спор о том, в чем заключается сущность математики, открываем ли мы её или изобретаем? Математика не существует физически, а только как абстракция, но эта абстракция описывает наш мир так точно, что сегодня уже на полном серьезе выдающимися учеными развиваются концепции о том, что вся наша Вселенная - это математический объект (например, в этом направлении работают М. Тегмарк и С. Вольфрам).

Зенон, апории которого крайне математичны, ставит перед нами жесткий выбор: если математика - это абстракция, не имеющая отношения к реальности, то рушится всё здание науки и нашей цивилизации; если математика всё-таки описывает реальность, значит Зенон прав и движение действительно иллюзорно. Зенон не исходит из какой-то одной конкретной математической теории, которую можно было бы просто безболезненно пересмотреть. Он исходит из самой сути математической логики. Поэтому мы вынуждены или пересмотреть всю математическую логику и достижения науки, или изменить наши взгляды на мир. Причем в основе апорий лежит довольно простая математика, понятная даже детям, и если даже такая простая математика неверна, то пора закрывать абсолютно все научные институты и вообще переставать запускать ракеты в космос и развивать технический прогресс, ведь оказывается, что математика - это "просто абстракция, не имеющая отношения к реальности". Тут снова надо либо крестик снять, либо, ну вы поняли.

Все предыдущие аргументы против Зенона носят крайне поверхностный и даже примитивный характер, но их очень часто озвучивают те или иные люди, поэтому пришлось здесь об этом упомянуть. Перейдем к более весомым аргументам.

Движение и Классическая механика

Опираясь на конкретное физико-инженерное понимание движения, можно сказать, что точка встречи Ахиллеса и черепахи рассчитывается очень просто по следующей формуле:

S/(Vах-Vч), где

S - изначальное расстояние между Ахиллесом и черепахой (1000 шагов),

Vах - скорость Ахиллеса (допустим 100 шагов в минуту),

- скорость черепахи (в 10 раз меньше, чем у Ахиллеса, значит 10 шагов в минуту).

Если подставим конкретные цифры, озвученные для примера в скобочках выше, то получится следующее:

1000/(100-10) = 1000/90 = 11,(1),

то есть 11 целых и 1 в периоде, то есть 11 целых и бесконечное (!) число единиц после запятой! То есть с точки зрения самой физики Ахиллес догонит черепаху тогда, когда пройдет бесконечное число единиц после запятой, а точнее никогда!

Более того! Если перемножить 11,(1) и 90 обратно, мы не получим 1000! Мы получим 999,(9)! И давно это у нас вообще математика считается точной наукой?))

Да, нас могут обвинить, что мы опять какие-то неправильные цифры взяли и надо брать не такие круглые значения, а что-то более приближенное к реальности. Но как же это так получается, что при одних скоростях Ахиллес догонит черепаху, а при других не догонит, при прочих равных условиях?

Перейдем к самому сильному аргументы - математическому анализу.

Ахиллес, черепаха и математический анализ

Математический анализ был изобретен в 17-18 веках Ньютоном и Лейбницем, как исчисление бесконечно малых величин - то, что, казалось бы, нам и надо.

Погоня Ахиллеса за черепахой - это довольно стандартный ряд, то есть бесконечная сумма конечных чисел, которая дает конечное же число, то есть, как говорят математики, ряд сходится.

И действительно. Допустим, для удобства, что Ахиллес бежит быстрее черепахи не в 10 раз, а в два раза. Тогда, для того, чтобы её догнать, ему нужно сначала пробежать 1/2 расстояния, потом 1/4, затем 1/8 и так далее.

Получаем ряд: 1/2+1/4+1/8+1/16+1/32+...1/n = ?

Сходимость ряда, то есть выяснение того, закончится ли он конечным числом или уйдет в бесконечность, определяется по формуле:

A/(1-q), где

А - первый член прогрессии,

q - основание прогрессии.

В нашем случае получается, что и A и q - это 1/2 или 0,5. Таким образом:

0,5/(1-0,5) = 0,5/0,5 = 1.

Казалось бы, ура! Ряд сходится, Ахиллес догнал черепаху! Но не спешите радоваться. Ведь что мы имеем на самом деле? А имеем мы вот что:

1/2+1/4+1/8+1/16+1/32+...1/n = 1.

То есть бесконечная сумма конечных слагаемых дала 1. Но тот факт, что бесконечная сумма конечных чисел дает конечный результат - это и есть парадокс сам по себе! Иными словами перед нами чистое чудо, доказанное математически! Бесконечность оказалась "оконеченной"! Но где тот последний шаг, после которого у нас и получится один? Он вообще есть? На этот вопрос нет ответа. Математика в лучших традициях диалектики Гегеля, против которой так рьяно сражаются сами математики, буквально постулировала: бесконечное переходит в конечное. Но где, как, когда? Нет ответа. А ведь в этом и был вопрос Зенона! Где же именно бесконечное движение Ахиллеса закончится? Математика просто постулирует, что движение закончится, но не объясняет, каким же будет последний шаг.

В итоге математический анализ, как казалось бы, сильнейшее орудие против апорий Зенона, просто постулирует чудо перехода бесконечного в конечное, но никак не объясняет это чудо!

Математик А.В. Савватеев в этом замечательном подкасте заявляет, что всё просто и дело лишь в том, что бесконечное количество отрезков пространства будут пройдены за конечное время. Вкратце этот аргумент мы уже рассматривали выше, теперь скажем о нем подробнее. Во-первых, это вообще не просто, а порождает еще больше вопросов: на каком это основании мы пространство ограничиваем временем, ведь время точно также бесконечно делимо, как и пространство в этой апории, и вообще пространство и время составляют единый континуум в Теории относительности. Во-вторых, аргумент А.В. Савватеева был разбит еще в прошлом веке математиком Г. Вейлем, который писал, что если б это было так, и Ахиллес мог бы пробежать бесконечную сумму отрезков за конечное время, то мы могли бы создать машину, которая за минуту совершает бесконечное число операций, и такая машина могла бы за минуту пересчитать, например, весь натуральный ряд, что абсурдно. Так почему же мы считаем, что бесконечное движение Ахиллеса за конечное время - это не точно такой же абсурд?

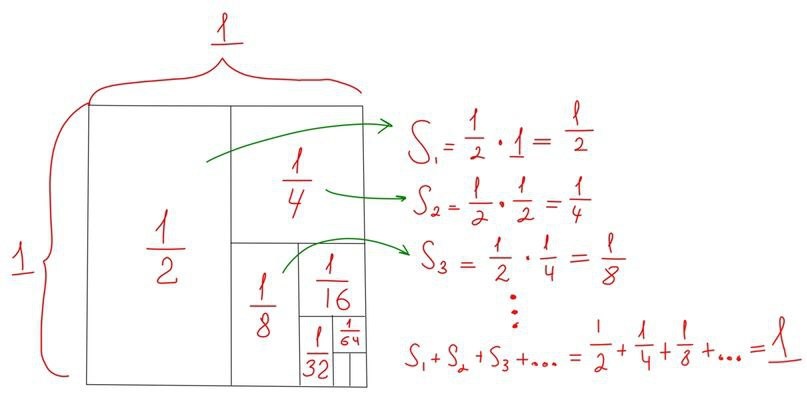
В защиту матанализа люди часто говорят, что погоня Ахиллеса за черепахой равносильна бесконечному делению квадратного метра. Да, мы можем бесконечно делить квадратный метр (как на рисунке 3), но он-то всё равно остается конечным. Аргумент с квадратом был сформулирован задолго до возникновения математического анализа еще философом XIV века Николаем Оремом. Данный аргумент представляет собой пример геометрической интуиции, примененной к апориям Зенона.

Рисунок 3. Квадрат Николая Орема: площадь каждой новый фигуры после деления квадрата пополам равна половине от того, что было до деления. Делить квадрат таким образом можно бесконечно, но сумма всех площадей в итоге всё равно даст 1.
Рисунок 3. Квадрат Николая Орема: площадь каждой новый фигуры после деления квадрата пополам равна половине от того, что было до деления. Делить квадрат таким образом можно бесконечно, но сумма всех площадей в итоге всё равно даст 1.

Ну так это же и опять есть постулирование чуда! Меня интересует не сам факт того, что чудо происходит, а как именно оно происходит. Как именно бесконечность оказывается оконеченной и наоборот?

Квадратный метр бесконечно делим, потому что он уже завершен. Значит погоня Ахиллеса за черепахой тоже уже завершена изначально? То есть движения как процесса никогда не было и нет, и элеаты всегда были правы?

А если движение есть, значит бесконечность отрезков в какой-то момент переходит в конечное число? А где тогда, опять же, будет последний шаг? После какого очередного слагаемого у нас получится наконец единица?

Мы в любом случае впадаем в парадокс: если берем готовый квадрат и признаем его бесконечную делимость, то запускаем процесс, который никогда не кончается (процесс бесконечного деления квадрата). Если берем наоборот процесс как нечто законченное, то получается, что Ахиллес догонит черепаху, потому что никакой погони и не было изначально. Ну снимите крестик уже наконец...

Можно сказать иначе. Завершенный квадрат мы можем бесконечно делить, но он остается собой. А если квадрата нет изначально и мы хотим его построить как из кубиков, складывая последовательно всё меньшие площади, как показано на рисунке 3, то когда же мы получим желаемый квадрат, площадь которого равна единице? Ответ: никогда.

То есть перед нами либо актуальная бесконечность, либо потенциальная, либо одно переходит в другое. Но где этот переход актуальной бесконечности в потенциальную? Его никто показать не может. Но все просто удовлетворяются простым ответом: ряд сходится. В этом и заключается сила настоящей философии: видеть то, что не видят другие в силу узости мышления, надменности, а порой и того, и другого.

Зенон показывает невыводимость актуальной бесконечности из потенциальной. В математике мы делим бесконечность на части. А Зенон спрашивает, как из частей собрать целое? Как собрать бесконечность?

Огромный вклад в развитие и утверждение матанализа как рабочей и полезной концепции внес французский математик первой половины XIX века Огюстен Луи Коши. В его работе, как и у чешского математика того же периода Бернарда Больцано, центральную роль играет чисто арифметическое понятие предела, освобожденное от всякой геометрической и временной интуиции. То есть сходимость ряда в самой математике буквально основана на отбрасывании пространства, времени и как следствие, какого-либо движения. В мире математики нет времени.

В 1934 году советский математик и философ, профессор С. А. Богомолов в своей книге "Актуальная бесконечность: Зенон Элейский, Исаак Ньютон и Георг Кантор" писал:

«Логическое совершенствование способа пределов вновь привело к торжеству Зеноновых апорий, разве что слова «Ахилл не догонит черепаху» на современный язык перевели бы так: переменная не достигает своего предела».

Спустя почти 30 лет, в 1962 г. советский математик и философ С.А. Яновская подтверждала, что "воз и ныне там":

"В настоящее время все более и более частыми и убедительными становятся замечания философов и специалистов по основаниям математики, свидетельствующие о том, что трудности, нашедшие отражение в апориях Зенона Элейского, и в наши дни нельзя считать преодоленными".

С тех пор, как теперь видно, мало что изменилось.

Интересно отметить, напоследок, что апории Зенона нарушают аксиому Архимеда. Но она же нарушается и в нестандартном анализе, который Курт Гёдель считал математикой будущего! А еще точнее, аксиома Архимеда нарушается в инфинитезимальном анализе — одном из наиболее разработанных разделов, составляющих нестандартные методы анализа. В его рамках получили строгое обоснование метод неделимых и монадология, восходящие к глубокой древности (здесь мы видим прямой намек на диалектический синтез древних философских концепций и строго формализованной современной науки, о чем еще будет сказано далее).

Парадокс непредставимости

В ответ на выше обозначенные аргументы иногда возражают так, что всё дело лишь в том, что мы просто не можем себе представить, как завершается бесконечная сумма конечных чисел, то есть мы имеем дело не с реальной проблемой, а "всего-навсего" с парадоксом непредставимости. То есть здесь утверждается, что если мы чего-то не можем себе представить, то это ещё не значит, что это что-то не существует или является невозможным.

Однако с этим аргументом спорю уже даже не я, а Дэвид Чалмерс - один из главных и наиболее известных современных специалистов по проблеме сознания. В своей знаменитой книге "Сознающий ум" Д. Чалмерс подробно разбирает логику непредставимости и приходит к выводу, что непредставимость - это абсолютно правомерный аргумент в пользу несуществования или невозможности чего-то. Тот, кто утверждает обратное, должен еще доказать, что непредставимое возможно. Но таких доказательств на данный момент нет, зато Д. Чалмерсом, как мне кажется, весьма убедительно показано обратное.

Кстати, мир без логики тоже непредставим. Это к вопросу о фундаментальности логики и важности работ Гегеля в этом направлении (а представим ли мир без сознающего наблюдателя, без сознания?). Интересно отметить, что в своей книге Д. Чалмерс пишет, что "эпистемология - это онтология наоборот" - тоже своего рода возвращение на новом уровне к тезису Парменида о единстве (или тождестве) бытия и мышления. Очень глубокая мысль на самом деле.

Тех, кого интересуют подробности, отсылаю к разделу "Логическая необходимость, концептуальная истина и представимость" в книге Д. Чалмерса "Сознающий ум".

***

Иногда говорят, что Зенон своими апориями показал недостаточность формальной логики для описания мира. Возможно. Но это неважно. Важно то, что любое существующее решение его апорий - это иллюзия, видимость решения, связанная с упрощением самой проблематики, поднимаемой Зеноном. Ни одна из апорий Зенона не решена ни одним из существующих способов, как мы это показали только что на примере апории "Ахиллес и черепаха".

В математике попыткой вырваться из плена формальной логики было создание дифференциального и интегрального исчисления. И то и другое предполагает непрерывное изменение некоторой величины в зависимости от непрерывного же изменения другой величины. Столбчатые диаграммы изображают зависимость дискретных явлений и процессов, а графики (линии) - непрерывных процессов и явлений. Однако переход от диаграммы к графику есть некое таинство - что-то вроде святотатства. Ведь все экспериментальные данные (результаты конкретных измерений) дискретны. А исследователь вместо диаграммы берет и рисует график. Что это? Если подходить строго, то дело тут обстоит так: график - это трансформация диаграммы в график, который аппроксимирует эту диаграмму. Строя график в виде сплошной линии, мы совершаем переход из мира дискретных явлений и предметов в мир непрерывный. Это попытка вырваться за пределы формальной логики и тем самым избежать её парадоксы. И эта попытка оказалась хорошо работающей на практике, но ничего не объясняющей по сути, потому что истинная проблема, лежащая в основе апорий, является гораздо более глубокой, чем кажется.

Так что же на самом деле за проблематику такую поднимает Зенон в своих апориях, что здесь оказывается бессильной даже современная наука? Об этом поговорим далее в четвертой части данной статьи.

Мой научно-философский проект