Добавить в корзинуПозвонить
Найти в Дзене

Уравнения Максвелла могут быть получены из уравнений Навье-Стокса

Предыдущее Сразу рассматривать сложный случай, учитывающий переменную плотность и вязкость было бы затруднительно. Потому предварительно была проделана работа с упрощённой схемой рассмотрения. Чтобы более полно понять физический смысл уравнений Максвелла с точки зрения механики, рассмотрим случай, когда учитывается кинематическая вязкость эфира, уравнение Навье-Стокса: Возьмём ротор: Воспользуемся известным алгебраическим тождеством: Учтём волновое уравнение: Разложим вторую производную по времени: Возьмём дивергенцию от уравнения Навье-Стокса: Запишем тождество: Приведём уравнения 1-4 к единообразным коэффициентам, домножив или поделив, где необходимо, на ρ, ν и c²: Уравнения I-IV эквивалентны уравнениям Максвелла, если принять следующие выражения: Обратим внимание на довольно сложное выражение для электрической индукции. Несложно сопоставить с ним известное в электродинамике выражение: Тогда вектор поляризации (P) будет определяться следующим образом: Во всех случаях, когда вычитаетс

Предыдущее

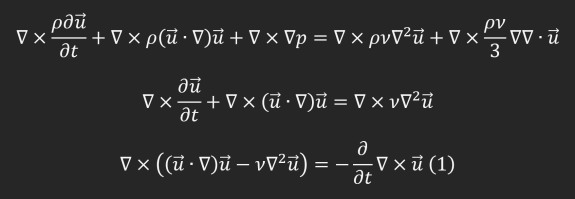
Сразу рассматривать сложный случай, учитывающий переменную плотность и вязкость было бы затруднительно. Потому предварительно была проделана работа с упрощённой схемой рассмотрения. Чтобы более полно понять физический смысл уравнений Максвелла с точки зрения механики, рассмотрим случай, когда учитывается кинематическая вязкость эфира, уравнение Навье-Стокса:

Возьмём ротор:

-2

Воспользуемся известным алгебраическим тождеством:

-3

Учтём волновое уравнение:

-4

Разложим вторую производную по времени:

-5

Возьмём дивергенцию от уравнения Навье-Стокса:

-6

Запишем тождество:

-7

Приведём уравнения 1-4 к единообразным коэффициентам, домножив или поделив, где необходимо, на ρ, ν и:

-8

Уравнения I-IV эквивалентны уравнениям Максвелла, если принять следующие выражения:

-9

Обратим внимание на довольно сложное выражение для электрической индукции. Несложно сопоставить с ним известное в электродинамике выражение:

-10

Тогда вектор поляризации (P) будет определяться следующим образом:

-11

Во всех случаях, когда вычитается член, умноженный на коэффициент кинематической вязкости, можно рассматривать это, как торможение эфира о соседние слои течений. Остальные выражения содержат кинематическую вязкость, как нормирующий коэффициент.

Следующее