Добавить в корзинуПозвонить
Найти в Дзене

Влияние естественной тяги (stack-эффекта) в системах противодымной вентиляции. Часть 1.

А Вы задумывались почему расчет систем приточной противодымной вентиляции выполняется для холодного периода года, в то время как для систем вытяжной противодымной вентиляции – для теплого? Какая же логика? И причем тут естественная тяга, которую ныне модно называть stack-эффектом? Согласно предпоследнему абзацу п.7.4 СП7.13130.2013 при определении расхода продуктов горения, удаляемых вытяжной противодымной вентиляцией: «Температуру наружного воздуха следует принимать для теплого периода года согласно [2], скорость ветра по наибольшим значениям независимо от периода года.» При этом пункт 7.16а СП7.13130.2013 гласит: «7.16 При расчете параметров приточной противодымной вентиляции следует принимать: а) температуру наружного воздуха и скорость ветра для холодного периода года по [2], температуру воздуха в помещениях — по заданию на проектирование». Рассмотрим для начала вытяжные системы. Обратимся к формуле (83) Методических рекомендаций ВНИИПО «Расчетное определение основных параметров

А Вы задумывались почему расчет систем приточной противодымной вентиляции выполняется для холодного периода года, в то время как для систем вытяжной противодымной вентиляции – для теплого? Какая же логика? И причем тут естественная тяга, которую ныне модно называть stack-эффектом?

Согласно предпоследнему абзацу п.7.4 СП7.13130.2013 при определении расхода продуктов горения, удаляемых вытяжной противодымной вентиляцией:

«Температуру наружного воздуха следует принимать для теплого периода года согласно [2], скорость ветра по наибольшим значениям независимо от периода года.»

При этом пункт 7.16а СП7.13130.2013 гласит:

«7.16 При расчете параметров приточной противодымной вентиляции следует принимать:

а) температуру наружного воздуха и скорость ветра для холодного периода года по [2], температуру воздуха в помещениях — по заданию на проектирование».

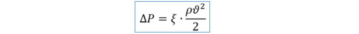
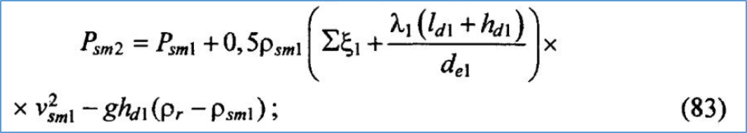
Рассмотрим для начала вытяжные системы. Обратимся к формуле (83) Методических рекомендаций ВНИИПО «Расчетное определение основных параметров противодымной вентиляции зданий» (МД.137-13):

В своей другой статье я уже показал, как можно любые страшные на первый взгляд формулы из данной методики расшифровать и понимать, что значат те или иные слагаемые и множители. Не исключением является и приведенная выше формула. Она показывает, как рассчитать необходимое давление для преодоления сопротивления участка сети. При этом, второе слагаемое это не что иное, как формула динамического давления

-2

где ξ высчитывается как значение:

-3

Но нас в данном случае интересует последнее слагаемое, которое показывает величину естественной тяги, обусловленной разностью плотностей удаляемых дымовых газов и внутреннего воздуха в здании:

-4

Методика расчета требуемого давления вентилятора системы дымоудаления предполагает расчет по участкам (совпадающим, как правило, с обслуживаемыми этажами) с учетом подсосов воздуха через закрытые противопожарные клапаны системы и неплотности соединений воздуховодов сети. В контексте рассматриваемого нами вопроса в данной статье максимально упростим рассматриваемый пример:

- предположим, что у нас система дымоудаления обслуживающая один этаж;

- сделаем допущение, что подсосы воздуха через неплотности соединений воздуховодов отсутствуют.

Возьмем в качестве примера систему высотой 50м и расчетной температурой дымовых газов 200°С. Географическое расположение – г. Москва. В соответствии с п.5.13 СП60.13330.2020 температуру теплого периода года принимаем по параметру «А» из столбца 3 таблицы 4.1 – плюс 23°С.

                                    Рисунок 1 – Схема принятой для примера системы ДУ
Рисунок 1 – Схема принятой для примера системы ДУ

Рассчитаем и сравним естественную тягу для нашего примера:

-6

Как видно из расчета, значение тяги для нашего примера имеет довольно-таки весомое значение. Разность плотностей воздушных и воздушно-дымовых масс создает естественное движение потоков дымовых газов наверх, что разгружает/уменьшает нагрузку на вентилятор. Естественная тяга при движении дымовых газов снизу-вверх (от открытого дымоприемного устройства к выбросному устройству) уменьшает требуемое давление вентилятора, как бы помогая ему поднимать дым из горящего этажа наверх на кровлю.

Что нам дает это понимание?

Во-первых, в формуле подсчета давления вентилятора заложен учет естественной тяги, уменьшающей значение требуемого давления вентилятора. Однако, это справедливо только при конфигурации движения дыма снизу-вверх. При нестандартных конфигурациях системы дымоудаления, например, аналогичных представленной на рисунке 2 с движением дыма сверху вниз вентилятору нужно будет преодолевать естественную тягу:

Рисунок 2 – Схема системы ДУ с увеличением давления вентилятора на величину тяги.
Рисунок 2 – Схема системы ДУ с увеличением давления вентилятора на величину тяги.

Т.е. значение естественной тяги в формуле (83) в этом случае должно быть со знаком «+»:

-8

Во-вторых, при проведении приемосдаточных испытаний системы дымоудаления работают на удаление воздуха с температурой, отличающейся от расчетной температуры дымовых газов. Значение естественной тяги будет стремиться к нулю. Для конфигурации системы, приведенной на рисунке 2, учет естественной тяги обязателен, чтобы заложить дополнительный напор на преодоление тяги при реальном пожаре. При конфигурации системы согласно рисунку 1 тяга будет уменьшать требуемый напор вентилятора при реальном пожаре, а в случае, когда система обслуживает несколько этажей, будет уменьшать в том числе и значения подсосов воздуха через закрытые противопожарные клапаны. Это в конечном счете может привести к тому, что при испытаниях не будет достигнуто расчетное значение расходов воздуха, удаляемых дымоприемными устройствами, если вентилятор был рассчитан и подобран на "режим удаления дымовых газов".

Теперь рассмотрим приточные системы. Для систем подпора воздуха расчет давления ведется по формулам (94) и (96) МД.137-13 для лестничных клеток и лифтовых шахт соответственно:

-9
-10

Красной рамкой я выделил слагаемые, отображающие величину естественной тяги.

Как видно, значения представлены со знаком «+». По умолчанию, считается, что вентиляторы систем подпора воздуха находятся на кровле и подают воздух «сверху-вниз». Именно, поэтому расчет параметров систем приточной противодымной вентиляции ведется для холодного периода года, как для наихудшего сценария, при котором необходимо противодействовать естественной тяге. Естественная тяга при этом будет обусловлена разностью плотностей воздуха снаружи и внутри здания. В теплый период года значение тяги будет стремиться к нулю.

Понимание данного вопроса позволит корректно вносить правки в формулы исходя из конфигурации схем в Вашем проекте, в частности, при расчете давления:

- систем компенсации объемов удаляемых продуктов горения;

- систем, защищающих поэтажные тамбур-шлюзы;

- систем, защищающих зоны безопасности МГН,

для которых отдельно не обговариваются методология расчета в МД.137-13.

Рисунок 3 – Вариации схем систем подпора воздуха по отношению к естественной тяге
Рисунок 3 – Вариации схем систем подпора воздуха по отношению к естественной тяге

Я считаю, что учитывать сопротивление тяги необходимо только в тех случаях, когда ее направление не совпадает с направлением движения воздуха или дымовых газов, создаваемого работой вентилятора. В случае, когда эти направления совпадают, тягой лучше игнорировать, учитывая ее отсутствие:

- при приемосдаточных испытаниях – для систем вытяжной противодымной вентиляции;

- в летний период времени – для систем приточной противодымной вентиляции.

Все это требует соответствующих корректировок формул из МД.137-13 для Вашего конкретного случая.

Также следует отметить, что в рамках наихудших сценариев принимается, что:

- выбросное устройство обращено на наветренную сторону (давление вентилятора при выбросе дымовых газов преодолевает ветровое давление);

- воздухозаборное устройство систем приточной противодымной вентиляции обращено на заветренную сторону (вентилятор на воздухозаборном устройстве преодолевает разрежение воздуха заветренного участка).