Добавить в корзинуПозвонить
Найти в Дзене
Биореактор

Лягушка-веган

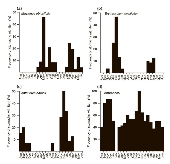
Все бесхвостые амфибии считаются хищниками. Но в окрестностях штата Рио-де-Жанейро, что в Бразилии, живет странная по лягушачьим меркам квакша Xenohyla truncata. Лягушечка небольшая - 4,5 см и ест плоды растений. К сожалению, чтобы подтвердить факт вегетарианства, нужно исследовать желудочно-кишечный тракт лягушки, и ученые отлавливали их в течение двух лет каждый месяц, в результате им дуалось изучить несколько сотен особей. Видимо, бедные квакши не зря лишились жизни во имя науки, так как ученые обнаружили, что лягушка периодически становится вегетарианцем и ест плоды эритроксилума, а иногда находится на смешанном питании. Никакой сезонности в выборе пищи ученые не обнаружили (о чем свидетельствует таблица, приведенная в фото). Ксенохила может питаться как исключительно привычной пищей – личинками членистоногих и взрослыми особями, так и растительной пищей, не обращая внимание на время года. В растительный рацион входят, в основном, плоды эритроксилума (Erythroxylum ovalifolium), а т

Все бесхвостые амфибии считаются хищниками. Но в окрестностях штата Рио-де-Жанейро, что в Бразилии, живет странная по лягушачьим меркам квакша Xenohyla truncata. Лягушечка небольшая - 4,5 см и ест плоды растений.

К сожалению, чтобы подтвердить факт вегетарианства, нужно исследовать желудочно-кишечный тракт лягушки, и ученые отлавливали их в течение двух лет каждый месяц, в результате им дуалось изучить несколько сотен особей.

Видимо, бедные квакши не зря лишились жизни во имя науки, так как ученые обнаружили, что лягушка периодически становится вегетарианцем и ест плоды эритроксилума, а иногда находится на смешанном питании.

-2

Никакой сезонности в выборе пищи ученые не обнаружили (о чем свидетельствует таблица, приведенная в фото). Ксенохила может питаться как исключительно привычной пищей – личинками членистоногих и взрослыми особями, так и растительной пищей, не обращая внимание на время года.

В растительный рацион входят, в основном, плоды эритроксилума (Erythroxylum ovalifolium), а также питается лягушка плодовыми стручками и семенами антуриума (Anthurium harrisii), семенами эриогонума (Eriogonum ovalifolium), плодами маутенуса (Maytenus obtusifolia).

Живет Ксенохила в листьях небольшого кустарника неорегелии (Neoregelia cruenta) и, как многие другие лягушки, днем прячется, а активна в ночное время. Причем другой вид ксенохил, Xenohyla eugenioi, не имеет растительного рациона и ест, как все порядочные лягушки, только животную пищу.
Непонятно, зачем Xenohyla truncata переходит полностью на растительный рацион.

-3

Очевидно, что лягушка использует плоды как дополнительный рацион, но зачем переходить на него полностью? По одной из гипотез, плоды используют как источник токсинов. Плоды некоторых видов эритроксилумов содержат алкалоиды и терпены. Токсины наш «веган» использует для защиты, как лягушки-древолазы. Но подтверждения гипотезе пока не установлено.

Непонятно и как Xenohyla truncata находит эти плоды. Лягушки реагируют на движущиеся объекты, а плоды эритроксилума неподвижны. Различает ли лягушка цвета или реагирует на какие-то другие факторы, чтобы отличить нужные ей плоды, тоже непонятно. Вот такая загадочная лягушечка-вегетарианка.

Автор: Мария Батаковская

Наука
7 млн интересуются