Добавить в корзинуПозвонить
Найти в Дзене
Математика ВУЗ

Исследовать функцию на непрерывность: разрыв первого рода со скачком

Разберем алгоритм решения заданий с формулировкой: исследовать функцию на непрерывность и указать тип разрыва. Пример: Дана функция вида Эта функция на каждом промежутке области определения задается своей формулой. На первом промежутке имеем знак строгого неравенства на конце интервала, а также область определения исходной функции разделена на промежутки точкой x=2. Значит проверять непрерывность будем в этой точке x=2. Проверяем первое условие – существование функции в данной точке: Функция в точке х=2 определена (имеет конкретное числовое значение). Теперь находим значение односторонних пределов в окрестности этой точки: Получили конечные, не равные друг другу пределы. При этом один из пределов совпадает со значением функции в точке х=2. Значит в этой точке функция терпит разрыв первого рода, со скачком. Размер скачка находим по формуле Размер скачка – одна единица, знак минус – указывает что скачек «вниз». Для красивого завершения – сделаем схематический чертеж исследуемой функции

Разберем алгоритм решения заданий с формулировкой:

исследовать функцию на непрерывность и указать тип разрыва.

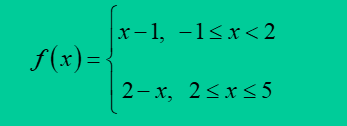
Пример: Дана функция вида

Эта функция на каждом промежутке области определения задается своей формулой. На первом промежутке имеем знак строгого неравенства на конце интервала, а также область определения исходной функции разделена на промежутки точкой x=2. Значит проверять непрерывность будем в этой точке x=2.

Проверяем первое условие – существование функции в данной точке:

-2

Функция в точке х=2 определена (имеет конкретное числовое значение).

Теперь находим значение односторонних пределов в окрестности этой точки:

-3

Получили конечные, не равные друг другу пределы. При этом один из пределов совпадает со значением функции в точке х=2. Значит в этой точке функция терпит разрыв первого рода, со скачком.

Размер скачка находим по формуле

-4

Размер скачка – одна единица, знак минус – указывает что скачек «вниз».

Для красивого завершения – сделаем схематический чертеж исследуемой функции

-5

Видим что результаты графического построения полностью совпали с аналитическим исследованием предложенной функции.

Теоретический материал по непрерывности можно посмотреть, например, здесь

Есть вопросы? Пожелания? Обращайтесь - контакты для связи