Добавить в корзинуПозвонить
Найти в Дзене
GEA Ingredients

Классификация модифицированных крахмалов

В прошлой статье мы рассказали вам о том, что такое нативный крахмал, о характеристиках модифицированного крахмала и подходах к его проверке перед применением. В сегодняшней публикации познакомим вас с видами модификаций нативного крахмала и расскажем о них подробнее. В первую очередь необходимо разобраться в типах физико-химического воздействия на нативный крахмал. Существует 4 основных вида модификации: 1. Химическая 2. Физическая 3. Ферментативная 4. Комбинированная (химическая+ферментативная, химическая+физическая, физическая+ферментативная) Разберем каждый вид подробнее. Физическая модификация Большинство физических модификаций крахмала осуществляется путем нагревания и механического воздействия. Свойства крахмалов, достигаемые при этом, варьируются в зависимости от температуры обработки, времени нагревания, а также происхождения крахмала, при этом большое значение имеет непосредственно содержание влаги в крахмале во время обработки. Основная цель физической модификации заключаетс

В прошлой статье мы рассказали вам о том, что такое нативный крахмал, о характеристиках модифицированного крахмала и подходах к его проверке перед применением. В сегодняшней публикации познакомим вас с видами модификаций нативного крахмала и расскажем о них подробнее.

В первую очередь необходимо разобраться в типах физико-химического воздействия на нативный крахмал.

Существует 4 основных вида модификации:

1. Химическая

2. Физическая

3. Ферментативная

4. Комбинированная (химическая+ферментативная, химическая+физическая, физическая+ферментативная)

Разберем каждый вид подробнее.

Физическая модификация

Большинство физических модификаций крахмала осуществляется путем нагревания и механического воздействия. Свойства крахмалов, достигаемые при этом, варьируются в зависимости от температуры обработки, времени нагревания, а также происхождения крахмала, при этом большое значение имеет непосредственно содержание влаги в крахмале во время обработки. Основная цель физической модификации заключается в получении крахмала, который будет растворяться в холодной воде, обладая при этом способностью эмульгирования и загущения.

Предварительная желатинизация - это модификация нативного крахмала, при которой в него добавляют воду и обрабатывают теплом с последующей сушкой и измельчением.

В промышленных условиях предварительно желатинизированные крахмалы традиционно получают барабанной сушкой, жаркой (обжигом), методом экструзии и распылительной сушкой. Суспензия крахмала для барабанной сушки должна быть влажностью более 70% и может иметь содержание твердых веществ до 42%. Для максимального набухания гранул и оптимальных реологических характеристик крахмала температура обработки необходима в диапазоне 90-95°C.

Предварительно желатинизированные гранулы крахмала или то, что от них осталось, демонстрируют полное отсутствие двойной поляризации (так называемый «Мальтийский крест»), но все же контролировать процесс полностью невозможно и в общей массе остается небольшой процент не разрушенных гранул. Их количество зависит от сырья, температуры и времени обработки.

Жарка крахмала заключается в нагревании гранулированного крахмала в воде (> 40% по массе) при температуре, превышающей температуру стеклования, но ниже температуры начала желатинизации.

Температура стеклования – это процесс перехода аморфной части амилопектина из кристаллической в эластичную. У каждого вида сырья она разная и находиться в диапазоне от 85 до 95°С при влажности не более 12%. Крахмал после жарки приобретает повышенную зернистость и пористость, а также снижает температуру желатинизации.

Процесс модификации распылительной сушкой является самым эффективным и качественным методом. Он имеет возможность контроля желатинизации за счет управления температурой острого пара. Процесс состоит из основных этапов:

1. Подготавливается однородная суспензия нативного крахмала с дистиллированной водой

2. Нагревается до температуры, предшествующей началу желатинизации.

3. Суспензия подается под давлением с помощью пара, имеющего температуру от 160 С до 200 С, в распылительную форсунку. Форсунка направлена в накопительную емкость.

4. Гранулы крахмала попадают в емкость и за счет времени свободного падения остужаются, приобретая предварительную структуру.

5. Окончательная сушка до 9-12% влажности.

Химическая модификация

Химическая модификация заключается во введении новых функциональных групп в молекулы крахмала, что приводит к специфическим изменениям его физико-химических и функциональных свойств.

Такая обработка нативного крахмала может значительно изменить его способность к набуханию и растворимости; желатинизации и ретроградации. Физико-химические и функциональные свойства модифицированных крахмалов зависят не только от типа вводимых химических групп и растительного происхождения крахмала, но также от степени замещения и распределения заместителей в молекулах крахмала, то есть от факторов, регулируемых условиями модификации (концентрация реагентов, рН, время реакции и присутствие сопутствующих веществ, включая катализаторы).

Химически модифицированные крахмалы, используемые в качестве пищевых добавок, включают:

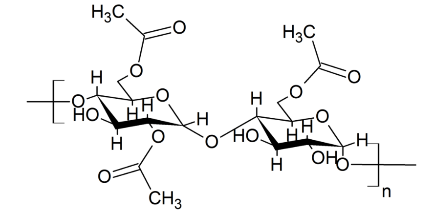
Структурная формула ацетата крахмала
Структурная формула ацетата крахмала
  • Окисленные крахмалы, так называемые стабилизированные крахмалы, которые содержат относительно объемные карбоксильные группы, и стерическое препятствие для этих групп снижает тенденцию этого крахмала к ретроградации, таким образом снижая прочность геля и обеспечивая стабильность вязкости. Под стерическим препятствием подразумевается увеличение стерического объема молекул, что, в свою очередь, изменяет время протекания реакций. Окисленные крахмалы образуют водные дисперсии, которые обладают большей прозрачностью и меньшей вязкостью по сравнению с нативным крахмалом.
  • Сшитые крахмалы и дважды химически модифицированные крахмалы.

Окисленный крахмал содержит относительно объемные карбоксильные группы, и стерическое препятствие для этих групп снижает тенденцию этого крахмала к ретроградации, таким образом снижая прочность геля и обеспечивая стабильность вязкости. Под стерическим препятствием подразумевается увеличение стерического объема молекул и тем самым изменяя время протекания реакций.

Окисленные крахмалы дают водные дисперсии большей прозрачности и меньшей вязкости, чем нативный крахмал.

Стабилизированные крахмалы образуются в результате введения монофункциональных реагентов тем самым образуя группы замещения, в первую очередь в цепях амилозы. Эти группы представляют собой стерическое препятствие для перестройки и ретроградации дисперсных линейных фрагментов крахмала. Более того, молекулярные связи внутри гранул ослабевают, и это вызывает снижение температуры желатинизации крахмала. Сшитые пищевые крахмалы является продуктом обработки крахмала бифункциональным этерифицирующим агентом, вводящим фосфатные связи.

-3

-4
-5

В таблице описаны приобретенные физико-химические свойства модифицированного крахмала в сравнении с нативным крахмалом.

-6
-7

В конце недели ждите новую статью, в которой мы раскроем тему производства модифицированного крахмала из углекислого газа, поэтому продолжайте следить за нашими новостями и оставайтесь на связи!

С уважением,
Команда «GEA Ingredients»