Найти в Дзене
Математика не для всех

Объяснение на пальцах самой красивой формулы в истории математики. Посчитаем руками!

Приветствую Вас, уважаемые Читатели! Сегодня я хочу в очередной раз обратиться к замечательному тождеству Эйлера, которое по праву является самой невероятной формулой в истории математики: В одном из прошлых материалов я уже рассказывал, как эта формула выводится. Однако самый большой вопрос, который возникает у большинства людей: "да как так-то????" Чтобы раз и навсегда прийти к пониманию этой формулы, мы должны разобрать её буквально по частям. Начнем с числа Эйлера е=2,71828.... Напомню, что оно является значением второго замечательного предела: Это равенство мы, пользуясь правилом возведения в степень, можем преобразовать: Последнее преобразование мы сделали не просто так: мы целенаправленно привели к однообразному виду степень и знаменатель дроби. Сейчас Вы поймете зачем. Взгляните: Видите разницу? А её нет! Нам совершенно "фиолетово", как идти в бесконечность: шагая по неровным шероховатым ступенькам (3.14, 6.28, ...) или же по ровным красивым (1,2,3). Результат и так и так будет

Приветствую Вас, уважаемые Читатели! Сегодня я хочу в очередной раз обратиться к замечательному тождеству Эйлера, которое по праву является самой невероятной формулой в истории математики:

В одном из прошлых материалов я уже рассказывал, как эта формула выводится. Однако самый большой вопрос, который возникает у большинства людей: "да как так-то????"

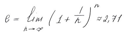
Чтобы раз и навсегда прийти к пониманию этой формулы, мы должны разобрать её буквально по частям. Начнем с числа Эйлера е=2,71828.... Напомню, что оно является значением второго замечательного предела:

-2

Это равенство мы, пользуясь правилом возведения в степень, можем преобразовать:

-3

Последнее преобразование мы сделали не просто так: мы целенаправленно привели к однообразному виду степень и знаменатель дроби. Сейчас Вы поймете зачем. Взгляните:

-4

Видите разницу? А её нет! Нам совершенно "фиолетово", как идти в бесконечность: шагая по неровным шероховатым ступенькам (3.14, 6.28, ...) или же по ровным красивым (1,2,3). Результат и так и так будет стремиться в бесконечность. Поэтому в формуле мы можем сделать такую же замену:

-5

Понятно, что вместо π мы можем записать что угодно: это всего лишь вопрос выбора обозначений. Давайте тогда уж сделаем нужную нам запись:

-6

Что мы видим в последней скобке? Мы должны некоторое количество раз перемножить комплексное число! Давайте попробуем руками:

-7

Удивительно начинается тогда, когда мы начинаем увеличивать показатель степени:

-8

При m=10000, мы уже получаем практически нулевую мнимую часть и вещественную часть, равную минус 1! Вот так, вручную мы получаем самую красивую формулу математики! Однако, еще мы можем пояснить тождество Эйлера чисто геометрически! Впрочем, это требует отдельного материала! Спасибо за внимание!

  • TELEGRAM и Вконтакте- там я публикую не только интересные статьи, но и математический юмор и многое другое.
Наука
7 млн интересуются