Добавить в корзинуПозвонить
Найти в Дзене
Математика не для всех

Идеально красивое доказательство от противного, которое должно быть в "золотом фонде"

Приветствую Вас, уважаемые Читатели! Метод доказательства от противного - это один из наикрасивейших методов доказательств, которое придумал человеческий ум. Напомню, что он состоит в постулировании некого утверждения, как верного, с последующей цепочкой доказательств, приводящей к противоречию. Следовательно, делается вывод, что исходное предположение ложно. Круг замкнулся. Сегодня я покажу Вам пример применения этого метода к доказательству расходимости гармонического ряда: Имеется множество доказательств расходимости данного ряда, т.е. того факта, что не существует конечного числа, которое является его суммой, но то, которое я покажу, без сомнения - самое простое и красивое. Взглянув на этот ряд, можно заметить, что каждый его следующей член меньше предыдущего и стремится к нулю, в связи и с чем можно предположить, что когда-нибудь рост остановится. Однако, всё не так просто. Этот факт является необходимым критерием сходимости, но еще не достаточным. Итак, предположим, что существуе

Приветствую Вас, уважаемые Читатели! Метод доказательства от противного - это один из наикрасивейших методов доказательств, которое придумал человеческий ум. Напомню, что он состоит в постулировании некого утверждения, как верного, с последующей цепочкой доказательств, приводящей к противоречию. Следовательно, делается вывод, что исходное предположение ложно. Круг замкнулся.

Метод основывается на законе двойного отрицания
Метод основывается на законе двойного отрицания

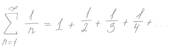
Сегодня я покажу Вам пример применения этого метода к доказательству расходимости гармонического ряда:

-2

Имеется множество доказательств расходимости данного ряда, т.е. того факта, что не существует конечного числа, которое является его суммой, но то, которое я покажу, без сомнения - самое простое и красивое.

Взглянув на этот ряд, можно заметить, что каждый его следующей член меньше предыдущего и стремится к нулю, в связи и с чем можно предположить, что когда-нибудь рост остановится. Однако, всё не так просто. Этот факт является необходимым критерием сходимости, но еще не достаточным.

Итак, предположим, что существует некоторое число S. которое является суммой этого ряда:

-3

Задумка в том, что мы можем разложить данный ряд на четные и нечетные слагаемые:

-4

То, что у нас оказывается во второй скобке, после вынесения множителя является именно нашим исходным рядом! Теперь раскидываем слагаемые по разным сторонам и раскрываем S:

-5

Теперь внимательно взглянем на полученное равенство:

-6

Каждый из членов сумму справа больше соответствующего соседа слева. Значит, мы пришли к противоречию, а значит исходное предположение - ложно. Следовательно, не существует такого числа, которое является суммой членов гармонического ряда! Ряд расходится, его сумма равна бесконечности! Спасибо за внимание!

  • TELEGRAM и Вконтакте- там я публикую не только интересные статьи, но и математический юмор и многое другое.