Добавить в корзинуПозвонить
Найти в Дзене
Математика не для всех

Волшебная палочка для максимумов и минимумов: метод множителей Лагранжа

Приветствую Вас, уважаемые Читатели! В школе каждый из Вас сталкивался с экстремальными задачами на поиск минимумов и максимумов. Все, так или иначе, научились находить производные, приравнивать их к нулю и анализировать полученные точки. Но что, если мы имеем, например, функцию двух переменных, да еще и с ограничениями, заданными неявно. Например, требуется исследовать на экстремумы следующую конструкцию: Конечно, можно пытаться выразить одну переменную через другую, но тогда получится не совсем красивая функция, с которой лень возиться. К счастью, у нас есть возможность использовать замечательный метод множителей Лагранжа. Давайте рассмотрим его, так сказать, на пальцах. Для начала запишем следующую вспомогательную функцию: Теперь необходимо найти частные производные и решить систему уравнений: Теперь при полученных значениях множителя находим точки, которые будем исследовать дополнительно: Точки, найденные нами называются стационарными, а дальнейшие изыскания связаны с вычислением

Приветствую Вас, уважаемые Читатели! В школе каждый из Вас сталкивался с экстремальными задачами на поиск минимумов и максимумов. Все, так или иначе, научились находить производные, приравнивать их к нулю и анализировать полученные точки.

Источник: https://upload.wikimedia.org/wikipedia/commons/thumb/6/69/Joseph_Louis_Lagrange2.jpg/1280px-Joseph_Louis_Lagrange2.jpg
Источник: https://upload.wikimedia.org/wikipedia/commons/thumb/6/69/Joseph_Louis_Lagrange2.jpg/1280px-Joseph_Louis_Lagrange2.jpg

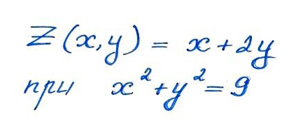
Но что, если мы имеем, например, функцию двух переменных, да еще и с ограничениями, заданными неявно. Например, требуется исследовать на экстремумы следующую конструкцию:

-2

Конечно, можно пытаться выразить одну переменную через другую, но тогда получится не совсем красивая функция, с которой лень возиться. К счастью, у нас есть возможность использовать замечательный метод множителей Лагранжа. Давайте рассмотрим его, так сказать, на пальцах. Для начала запишем следующую вспомогательную функцию:

Метод множителей Лагранжа применяется в нелинейном программировании для решения экономических задач
Метод множителей Лагранжа применяется в нелинейном программировании для решения экономических задач

Теперь необходимо найти частные производные и решить систему уравнений:

-4

Теперь при полученных значениях множителя находим точки, которые будем исследовать дополнительно:

-5

Точки, найденные нами называются стационарными, а дальнейшие изыскания связаны с вычислением знака второй производной функции F в этих точках. Простейшая запись этих условий сводится к вычислению определителя:

-6

Подставляем и вычисляем определитель в общем виде, что значительно удобнее:

-7

Теперь, если определитель больше нуля, мы получим точку максимума, в обратном случае - минимум:

-8

Вычисляем значения функции в найденных экстремальных точках:

-9

Теперь посмотрим на геометрическую интерпретацию:

-10

Как видно из рисунка, нужно найти наибольшее и наименьшее значение аппликаты плоскости z=x+2y для точек ее пересечения с цилиндром. Спасибо за внимание!

  • TELEGRAM и Вконтакте- там я публикую не только интересные статьи, но и математический юмор и многое другое!
Наука
7 млн интересуются