Найти в Дзене
Математика не для всех

Три школьные формулы, которые было невозможно запомнить

Приветствую Вас, уважаемые Читатели! Сегодня я хотел побеседовать о постоянно выскакивающих из памяти формулах из школьного курса математики, а заодно и решить одно задание уже из курса математического анализа, в котором нужно применить "комбо" - сразу две этих формулы. Итак, поехали! Речь, конечно, о формулах суммы/разности синусов и косинусов: Надеюсь, я не один такой, что не мог запомнить эту формулу не в школьные, не в институтские времена, да и сейчас каждый раз обращаюсь к поисковику? А ведь есть еще аналогичная формула для тангенсов и котангенсов... а еще есть формулы для синуса/косинуса суммы и разности. В целом, хорошо современным школьникам и студентам: подсмотреть всегда можно в интернете. Как и обещал, давайте решим простенькую задачу с применением этих формул. Требуется найти предел выражения: Синус сверху, переменная стремится к нулю....уже сейчас напрашивается свести эту дробь к первому замечательному пределу. Однако сначала нужно что-то сделать с числителем. Для этого

Приветствую Вас, уважаемые Читатели! Сегодня я хотел побеседовать о постоянно выскакивающих из памяти формулах из школьного курса математики, а заодно и решить одно задание уже из курса математического анализа, в котором нужно применить "комбо" - сразу две этих формулы. Итак, поехали!

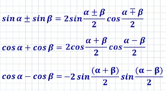
Речь, конечно, о формулах суммы/разности синусов и косинусов:

-2

Надеюсь, я не один такой, что не мог запомнить эту формулу не в школьные, не в институтские времена, да и сейчас каждый раз обращаюсь к поисковику? А ведь есть еще аналогичная формула для тангенсов и котангенсов... а еще есть формулы для синуса/косинуса суммы и разности.

В целом, хорошо современным школьникам и студентам: подсмотреть всегда можно в интернете.

Как и обещал, давайте решим простенькую задачу с применением этих формул. Требуется найти предел выражения:

-3

Синус сверху, переменная стремится к нулю....уже сейчас напрашивается свести эту дробь к первому замечательному пределу.

Однако сначала нужно что-то сделать с числителем. Для этого разложим удвоенный синус на части и получим два выражения для формулы суммы синусов:

-4

Теперь главное не запутаться со знаками: в первой скобке знак "-", а во второй "+":

-5

В предпоследней строчке вспоминаем, что синус - функция нечетная, а поэтому sin(-h/2) = - sin (h/2).

Вернемся к исходной дроби и вынесем общий множитель:

-6

Ну а теперь обещанное комбо: применяем формулу косинуса разности:

-7

Первый замечательный предел

-8

В нашем случае в роли x выступает величина h/2, поэтому мы должны добиться того же в знаменатели. Домножим числитель и знаменатель на 1/4:

-9

Задача решена! В конце хотел бы поинтересоваться у Вас: а стоит ли сейчас, в современном информационном мире, запоминать формулы? Или же стоит полагаться на технологии? Спасибо за внимание!

  • Ставьте "Нравится" и подписывайтесь на канал прямой сейчас, чтобы не пропустить следующие публикации.
  • TELEGRAM и Facebook - там я публикую не только интересные статьи, но и математический юмор и многое другое.
Наука
7 млн интересуются