Найти в Дзене
Математика не для всех

Фундаментальное понятие алгебры на пальцах. Результант

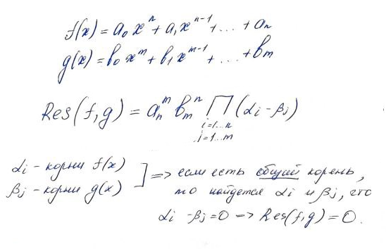
Приветствую Вас, уважаемые Читатели! В прошлой статье я рассказывал про мнемоническое правило вычисления дискриминанта квадратного трехчлена. Сегодня мы тоже займемся многочленами, но уже на более высоком уровне (как обычно, изложение будет максимально простым, с конкретными примерами). Мы рассмотрим, что же такое результант. Уверен, большинство Читателей с этим понятием не знакомо, только если они не получали специализированное образование. Тем не менее, результант - очень занимательная вещь, неразрывно связанная и с знакомым всем дискриминантом. Итак, поехали! Начнём, как и положено, с определения. Результантом для двух многочленов f(x) и g(х) называется выражение, вычисляемое по следующей формуле: Результант ни откуда не выводится,а придуман искусственно с вполне конкретной целью: записать выражение, которое обращается в ноль, если у пары многочленов есть совпадающие корни (нижняя часть рисунка). Находим корни -> сокращаем -> снижаем размерность системы уравнений - > делаем жизнь п

Приветствую Вас, уважаемые Читатели! В прошлой статье я рассказывал про мнемоническое правило вычисления дискриминанта квадратного трехчлена. Сегодня мы тоже займемся многочленами, но уже на более высоком уровне (как обычно, изложение будет максимально простым, с конкретными примерами). Мы рассмотрим, что же такое результант.

Английский математик Фрэнсис Сауэрби Маколей - один из людей, внесших большой вклад в развитие теории исключений, которая  изучает алгоритмические подходы к решению систем полиномиальных уравнений (систем уравнений с многочленами высших степеней, случаев, когда переменных в системе больше, чем уравнений и т.д.). Именно как один из методов теории исключений появился результант.
Английский математик Фрэнсис Сауэрби Маколей - один из людей, внесших большой вклад в развитие теории исключений, которая изучает алгоритмические подходы к решению систем полиномиальных уравнений (систем уравнений с многочленами высших степеней, случаев, когда переменных в системе больше, чем уравнений и т.д.). Именно как один из методов теории исключений появился результант.

Уверен, большинство Читателей с этим понятием не знакомо, только если они не получали специализированное образование. Тем не менее, результант - очень занимательная вещь, неразрывно связанная и с знакомым всем дискриминантом. Итак, поехали!

Начнём, как и положено, с определения. Результантом для двух многочленов f(x) и g(х) называется выражение, вычисляемое по следующей формуле:

-2

Результант ни откуда не выводится,а придуман искусственно с вполне конкретной целью: записать выражение, которое обращается в ноль, если у пары многочленов есть совпадающие корни (нижняя часть рисунка).

Находим корни -> сокращаем -> снижаем размерность системы уравнений - > делаем жизнь проще!
Джеймс Джозеф Сильвестр. Источник: https://img1.liveinternet.ru/images/attach/d/0/143/552/143552785_James_Joseph_Sylvester.jpg
Джеймс Джозеф Сильвестр. Источник: https://img1.liveinternet.ru/images/attach/d/0/143/552/143552785_James_Joseph_Sylvester.jpg

В таком виде выражение, конечно, неудобное. Однако англичанин Джеймс Джозеф Сильвестр придумал матричную запись выражения для результанта (её, вывод, на самом деле, не так сложен, но мы его опустим). Вычисляя определитель этой матрицы, мы и будем получать результант двух многочленов:

Подождите, сейчас будет понятно!
Подождите, сейчас будет понятно!

У нас здесь не строгий математический журнал, поэтому давайте на конкретном примере. Пусть у нас есть два многочлена:

m и n - это максимальная степень многочлена.  Остается только вычислить определитель. Если он равен нулю, то у многочленов есть общий корень.
m и n - это максимальная степень многочлена. Остается только вычислить определитель. Если он равен нулю, то у многочленов есть общий корень.

Начинаем записывать коэффициенты многочлена f(x) слева-направо. Их всего четыре штуки, а значит в конце у нас один ноль. В следующей строчке делаем сдвиг. Всего для первого многочлена у нас получится m=2 строк. С третьей строчки начинаются коэффициенты многочлена g(x). Их всего три, а значит в третьей строке n-1 = 2 нуля. Дальнейшие сдвиги аналогичны.

Так как наша искусственная матрица квадратная, то определитель для неё всегда имеет смысл!

Давайте рассмотрим более простой пример для квадратный трехчленов:

S - обозначение матрицы Сильвестра.
S - обозначение матрицы Сильвестра.

Остается найти определитель матрицы. Так как матрица 4х4 будем преобразовывать:

Напомню, что со строками определителя мы можем творить полную вакханалию: складывать с другими строками, умножать на число, не равное нулю, переставлять местами и даже выбрасывать строки, состоящие только из нулей. На втором шаге разложил  через алгебраические дополнения, хотя Читатель уже наверняка вспомнит простую мнемоническую формулу для определителя 3х3.
Напомню, что со строками определителя мы можем творить полную вакханалию: складывать с другими строками, умножать на число, не равное нулю, переставлять местами и даже выбрасывать строки, состоящие только из нулей. На втором шаге разложил через алгебраические дополнения, хотя Читатель уже наверняка вспомнит простую мнемоническую формулу для определителя 3х3.

Итак, произошло то, что и ожидалось: результант двух многочленов равен нулю, а значит у них имеется общий корень. Но что за корень? Как его вычислить?

Естественно, легко разложить трехчлены, и найти, что общий корень -1. Но что, если у нас полином 5-ой степени, да еще с нецелыми корнями?

Для этого в теории исключений существует понятие n-ного субрезультанта, получающегося вычеркиванием определенных строк определителя матрицы Сильвестра. С их помощью у математиков (а еще у систем компьютерной алгебры) есть возможность определить кратность общих корней и даже конкретные их значения.

Кстати, а Вы знали, что дискриминант многочлена - это результант многочлена и его производной? Вот-вот! Ждите новых материалов!

  • Если Вам понравился данный материал, поддержите его лайком, а канал - подпиской.
  • TELEGRAM и Facebook - там я публикую не только интересные статьи, но и математический юмор и многое другое.
Наука
7 млн интересуются