Добавить в корзинуПозвонить
Найти в Дзене
Математика не для всех

В математике есть 9 (!!!) факториалов. Все они - в этой статье

Приветствую Вас, уважаемые Читатели! Итак, сегодня хочу рассказать об удивительном математическом зоопарке факториалов. Оказывается, кроме привычной для всех операции, есть еще целых 8 вариантов. Поехали! Возникает естественным образом в комбинаторике - науке, в которой изучаются задачи, связанные с выбором и расположением различных элементов чаще всего конечных множеств. Подробнее о его происхождении здесь. Этот факториал имеет просто громадное количество приложений в комбинаторике и достоин отдельного материала. Впервые он использовался при выводе замечательного произведения Уоллиса, связывающего натуральные числа и число π: Этот представитель семейства в отличие от обычного факториала, который определяет количество перестановок, определяет количество беспорядков. Подробнее - в моём недавнем материале. Дальше - математическая экзотика Определяется как произведение простых чисел, меньших или равных данному. Подробная информация и особенности его применения - здесь. Название дано созд
Оглавление

Приветствую Вас, уважаемые Читатели! Итак, сегодня хочу рассказать об удивительном математическом зоопарке факториалов. Оказывается, кроме привычной для всех операции, есть еще целых 8 вариантов. Поехали!

1. Факториал

Возникает естественным образом в комбинаторике - науке, в которой изучаются задачи, связанные с выбором и расположением различных элементов чаще всего конечных множеств. Подробнее о его происхождении здесь.

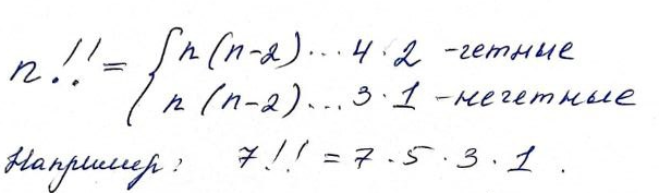
2. Двойной факториал

-2

Этот факториал имеет просто громадное количество приложений в комбинаторике и достоин отдельного материала. Впервые он использовался при выводе замечательного произведения Уоллиса, связывающего натуральные числа и число π:

-3

3. Субфакториал

-4

Этот представитель семейства в отличие от обычного факториала, который определяет количество перестановок, определяет количество беспорядков. Подробнее - в моём недавнем материале.

Дальше - математическая экзотика

4. Праймориал

-5

Определяется как произведение простых чисел, меньших или равных данному. Подробная информация и особенности его применения - здесь.

5. Суперфакториал Слоуна

-6

Название дано создателем уникальной в своём роде Онлайн Энциклопедии Целочисленных Последовательностей (OEIS). Определяется как произведение факториалов чисел, меньших или равных заданному.

6. Суперфакториал Пиковера

Запись показателя степени слева сверху от числа определяет особенную математическую операцию - тетрацию
Запись показателя степени слева сверху от числа определяет особенную математическую операцию - тетрацию

Удивительно быстрорастущая функция. Для числа 3 - это уже вот такая невообразимая башня:

Степени "схлопываются" справа-налево
Степени "схлопываются" справа-налево

7. Экспоненциальный факториал

-9

По сравнению с предыдущим представителем растет "медленно". Например, для выражения выше - это 262144. Правда, для числа 6 в результате уже 10^183230 нулей.

8. Гиперфакториал

-10

Растет еще медленнее, чем предшествующие два. Только лишь на 14 шаге число нулей приближается к гуголу.

9. Фиббоначиал (бонус)

Равняется произведению первых n чисел Фибоначчи.

P.S. Кроме перечисленных существуют еще возрастающие и убывающие факториалы, но они являются частным случаем факториала обычного.
Источник: https://avilagtitkai.com/uploads/article/numerologia-3b7e6c32d4.jpg
Источник: https://avilagtitkai.com/uploads/article/numerologia-3b7e6c32d4.jpg

А еще есть факториал дробного числа! Читайте о нём в моём увлекательном материале! Еще можете заглянуть сюда и узнать, что такое числа-факторионы, и почему их всего 4 !

Спасибо за внимание! Статьте "Нравится" этому материалу и подписывайтесь на канал!

Читайте также: