Найти в Дзене
ESR

Потери энергии и тангенс угла потерь конденсатора

В реальном конденсаторе, включенном в электрическую цепь, наряду с обменом энергии между конденсатором и источником некоторая часть энергии расходуется на нагрев конденсатора и рассеивается в окружающей среде. Нагрев ухудшает качество диэлектрика и снижает электрическую прочность конденсатора. Потери энергии в конденсаторе складываются из потерь энергии в диэлектрике Рд и потерь энергии в металлических частях Рм. Потери энергии в диэлектрике объясняются: — потерями проводимости, которые характеризуются током утечки; — дипольными потерями, обусловленными вращением дипольных молекул или перемещением полярных групп в переменном электрическом поле; — потерями от ионизации воздушных включений в диэлектрике. Потери энергии в металлических частях вызываются потерями на нагрев обкладок, контактов и выводов при прохождении по ним тока, а также вибрацией обкладок. Таким образом, полные потери энергии в конденсаторе (активная мощность Р) в единицу времени: Практически полные потери в конденсаторе

В реальном конденсаторе, включенном в электрическую цепь, наряду с обменом энергии между конденсатором и источником некоторая часть энергии расходуется на нагрев конденсатора и рассеивается в окружающей среде. Нагрев ухудшает качество диэлектрика и снижает электрическую прочность конденсатора. Потери энергии в конденсаторе складываются из потерь энергии в диэлектрике Рд и потерь энергии в металлических частях Рм.

Потери энергии в диэлектрике объясняются:

— потерями проводимости, которые характеризуются током утечки;

— дипольными потерями, обусловленными вращением дипольных молекул или перемещением полярных групп в переменном электрическом поле;

— потерями от ионизации воздушных включений в диэлектрике.

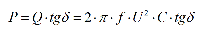
Потери энергии в металлических частях вызываются потерями на нагрев обкладок, контактов и выводов при прохождении по ним тока, а также вибрацией обкладок. Таким образом, полные потери энергии в конденсаторе (активная мощность Р) в единицу времени:

Практически полные потери в конденсаторе:

-2

где

-3

тангенс угла потерь конденсатора. Из приведенной формулы может быть определена величина:

-4

т. е. отношение активной мощности конденсатора к реактивной. Эта величина является одной из основных, качественных характеристик конденсатора. Схема замещения реального конденсатора с активными потерями может быть представлена в виде емкости и параллельно включенного сопротивления (рис. 8) и в виде емкости и последовательно включенного сопротивления (рис. 9). Из приведенных векторных диаграмм видно, что угол представляет собой угол сдвига по фазе между током и напряжением в конденсаторе. Угол дополняет угол до 90° и называется углом потерь.

Тангенс угла потерь может быть выражен через параметры схемы С и r.

Для параллельной схемы:

-5

Для последовательной схемы:

-7
-8

В этих формулах емкости С выражены в фарадах, а сопротивления r, представляющие собой значения, эквивалентные потерям в конденсаторе, — в Омах. Параллельная схема может быть применена в том случае, если потери преобладают в диэлектрике, а последовательная— если потери преобладают в металлических частях конденсатора.

Тангенс угла потерь конденсаторов зависит от их конструктивных особенностей, рода диэлектрика и уровня технологии производства. На тангенс угла потерь оказывают влияние также температура, частота и напряжение тока. В практике очень часто величину тангенса угла потерь выражают не в абсолютных единицах, а в процентах.

Величина тангенса угла потерь силовых бумажных конденсаторов обычно находится в пределах 0,0015-0,004, или 0,15—0,4%. Например, у конденсатора с реактивной мощностью Q = 100 квар при tgδ=0,2%

Активные потери в виде тепла:

-9
-10

Т.е. грубо говоря конденсатор будет служить обогревателем и нужно позаботиться о его охлаждении.