Добавить в корзинуПозвонить
Найти в Дзене
Широков Александр

Рекуррентная формула для вычисления корня степени k из числа

Ещё в школе я, как и все мы, познакомился с иррациональными числами. Для вычисления их приближённых значений и выполнения операций над ними я уже вовсю пользовался электронным микрокалькулятором. От своей учительницы по математике, Беловой Светланы Владимировны, я узнал, что раньше ученики использовали таблицы Брадиса и логарифмические линейки. Современные школьники как о первых, так и о вторых имеют крайне смутные представления. Мне же тогда не давал покоя вопрос: а как же именно калькулятор вычисляет значения квадратных корней, тригонометрических функций и логарифмов? Поступив в университет, из курса высшей математики я узнал о том, что, например, функция синуса может быть представлена в виде степенного ряда и таким образом можно вычислить её приближённое значение для любого числа – тогда-то мне и стал понятен алгоритм работы калькулятора при вычислении синуса. Как-то в руки мне попал старенький школьный учебник по алгебре. Листая его, я вдруг обнаружил в нём формулу, с помощью котор
Оглавление

Ещё в школе я, как и все мы, познакомился с иррациональными числами. Для вычисления их приближённых значений и выполнения операций над ними я уже вовсю пользовался электронным микрокалькулятором. От своей учительницы по математике, Беловой Светланы Владимировны, я узнал, что раньше ученики использовали таблицы Брадиса и логарифмические линейки. Современные школьники как о первых, так и о вторых имеют крайне смутные представления. Мне же тогда не давал покоя вопрос: а как же именно калькулятор вычисляет значения квадратных корней, тригонометрических функций и логарифмов?

Поступив в университет, из курса высшей математики я узнал о том, что, например, функция синуса может быть представлена в виде степенного ряда и таким образом можно вычислить её приближённое значение для любого числа – тогда-то мне и стал понятен алгоритм работы калькулятора при вычислении синуса. Как-то в руки мне попал старенький школьный учебник по алгебре. Листая его, я вдруг обнаружил в нём формулу, с помощью которой можно методом последовательных приближений вычислять значения квадратных корней. Для меня это было довольно неожиданно – ведь в тех учебниках по алгебре, по которым я учился, этой формулы не было и в помине, то есть сейчас этот материал просто исключён из школьной программы, что на мой взгляд сделано совершенно напрасно.

Меня заинтриговала эта формула из старого учебника, причём настолько, что в 2000 г., вооружившись знаниями по математике, полученными в университете, я, будучи уже студентом второго курса, не только вывел её, но и получил более общую формулу, позволяющую вычислять значение корня степени k из числа C.

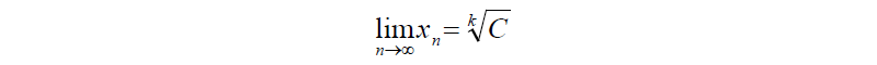
Пусть {xₙ} – последовательность приближённых значений корня k-ой степени из числа C (k – натуральное, C – неотрицательное), причём {xₙ} имеет предел:

Другими словами x₀, x₁, x₂, ... – всё более и более точные (хотя и приближённые) значения корня степени k. Зная способ вычисления членов последовательности {xₙ} мы будем знать способ нахождения приближённого значения корня.

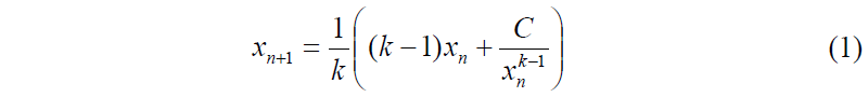
Последовательность {xₙ} может быть задана рекуррентной формулой:

-2

Как получается эта формула, можно показать двумя способами.

I-й способ

Пусть нам известно приближённое значение корня и пусть оно равно xₙ:

-3

Мы хотим получить более точное значение, нежели xₙ. Указанное выше приближённое равенство можно сделать точным:

-4

Точное значение a мы вычислить не можем, так как не знаем точного значения корня, но если мы сможем определить приближённое значение числа a (обозначим его как a* ), то xₙ₊₁ можно будет представить в виде

-5

Возведём обе части равенства (2) в степень k:

-6

По формуле бинома Ньютона:

-7

Будем считать, что по абсолютной величине число а достаточно мало, следовательно, для определения приближённого значения a всеми слагаемыми, содержащими его в степени выше первой, в выражении (4) можно пренебречь. Тогда

-8

Число a* можно выбрать так, чтобы

-9

Отсюда:

-10

Подставляем (5) в (3) и после преобразования получаем формулу (1):

-11

II-й способ

Рассмотрим функцию (k – натуральное, C – неотрицательное)

-12

Она при x>0 имеет значение, равное нулю в точке, как раз соответствующей значению корня. Вычислив приближённое значение x, при котором функция y(x) обращается в ноль, можно тем самым вычислить и приближённое значение корня. Отметим, что

-13

Примерное значение аргумента, при котором y(x) обращается в ноль, можно находить с помощью метода касательных. Если xₙ – приближённое значение корня функции y(x), то более точное значение xₙ₊₁ можно вычислить с помощью указанного метода, получив при этом формулу (1):

-14

Пример

Вычислим приближённое значение квадратного корня из числа 3 с точностью до четвёртого знака после запятой. Для вычисления такого корня формула (1) примет вид:

-15

Пусть x₀=1, тогда

-16

Округляя x₅ до четвёртого знака после запятой получаем, что

-17

См. также: Листая старые советские школьные учебники...

Перечень публикаций на канале
Широков Александр2 декабря 2020

p.s.: Лишь совсем недавно узнал, что приведённая выше формула, по которой можно вычислять квадратный корень именнáя (итеративная формула Герона). Спасибо каналу "Математика не для всех"!