Добавить в корзинуПозвонить
Найти в Дзене
Математика не для всех

Всё, что нужно знать о квадратном корне. Вспоминаем математику

Может, еще не всё потеряно ?
Оглавление

Приветствую Вас, уважаемые Читатели! Сегодня продолжаем цикл статей, посвященных основам школьной математики, которые неплохо бы знать каждому взрослому человеку. Поговорим о квадратном корне и его свойствах. Поехали!

Источник: http://clipart-library.com/img1/1156351.png
Источник: http://clipart-library.com/img1/1156351.png

Итак, квадратный корен - это частный случай корня n-ной степени при n=2. Как и у любого математического понятия у квадратного корня есть определение, например:

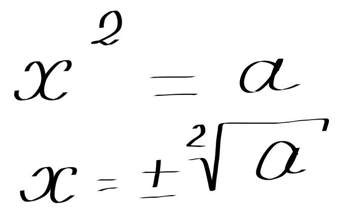
Квадратный корень из числа а - это решение указанного выше уравнения. Обратите внимание на +-, а также на то, что цифру "2" при записи  знака радикала по умолчанию опускают.
Квадратный корень из числа а - это решение указанного выше уравнения. Обратите внимание на +-, а также на то, что цифру "2" при записи знака радикала по умолчанию опускают.

У каждого положительного числа есть два противоположных квадратных корня, например, для 16 - это 4 и -4. В школьном курсе математики ограничиваются неотрицательными числами под знаком квадратного корня, но мы же знаем, что извлечь его можно и из отрицательного числа, перейдя к комплексным числам.

Кстати, арифметическим квадратным корнем из неотрицательного числа называется именно то значение, которое больше нуля.

График квадратного корня

Квадратный корень на области своего определения является монотонной возрастающей функцией. График его выглядит так:

Источник: https://otvet.imgsmail.ru/download/45720838_53f458062dcde8834277f3810ebdd18c_800.jpg
Источник: https://otvet.imgsmail.ru/download/45720838_53f458062dcde8834277f3810ebdd18c_800.jpg

Квадратный корень занимает особое место в геометрических построениях с помощью циркуля и линейки: в общем виде возможно построить только такие отрезки, длина которых описывается выражениями содержащими основные арифметические операции и квадратный корень.

В языках программирования общепринятой записью операции извлечения квадратного корня является запись sqrt(x).

Как извлечь квадратный корень ?

Извлечение квадратного корня - очень важный с алгоритмической точки зрения процесс. Поэтому следует различать алгоритмы, которые могут быть в жизненных ситуациях от тех, которые применяются при высокоскоростной обработке данных.

Можно извлечь и так. Источник: https://belnaviny.by/wp-content/uploads/2019/06/belnaviny.by-v-kobrinskom-rajone-likvidiruyut-posledstviya-uragana.jpg
Можно извлечь и так. Источник: https://belnaviny.by/wp-content/uploads/2019/06/belnaviny.by-v-kobrinskom-rajone-likvidiruyut-posledstviya-uragana.jpg
Например, квадратный корень можно считать как на калькуляторе, так и в столбик, ведь никаких требований к скорости вычислений не предъявляется.

В практических задачах всё по-другому. Например, некоторые алгоритмы извлечения квадратного корня подразумевают нахождение первоначальной грубой оценки:

Для нечетных D в выражении 6 поменяется на 2, а само D = 2n+1
Для нечетных D в выражении 6 поменяется на 2, а само D = 2n+1

Оценка действительно очень грубая, но для еще бОльших чисел она даёт неплохой быстрый старт для итеративных алгоритмов.

Естественно, квадратный корень не ограничивается только числами. Существуют и применяются его расширения, например для матриц.

Наиболее точный алгоритм вычисления квадратного корня использовался еще в древнем Вавилоне, но в математике он известен под названием "итеративная формула Герона":

-6