Добавить в корзинуПозвонить
Найти в Дзене
Математика не для всех

Самая красивая математическая последовательность - A229037.

Не пройти мимо - ей место в Третьяковке
Оглавление

Приветствую Вас, уважаемые Читатели! В очередной раз обращаюсь к настоящей кладезе математических шедевров - Онлайн Энциклопедии целочисленных последовательностей (OEIS). Сегодня на очереди последовательность с идентификатором A229037, настолько примечательная, что даже получила название "последовательность лесного пожара". Хотите знать почему? Тогда поехали!

Авторы J.W. Grahl и X.Gregg. Данная последовательность была победителем в конкурсе
Авторы J.W. Grahl и X.Gregg. Данная последовательность была победителем в конкурсе

Вот и сама последовательность, ничего необычного, да и очень трудно понять какую закономерность она в себе таит. Так вот, на математическом языке она называется самогенерирующейся последовательностью, избегающая арифметической прогрессии.

Давайте разбираться

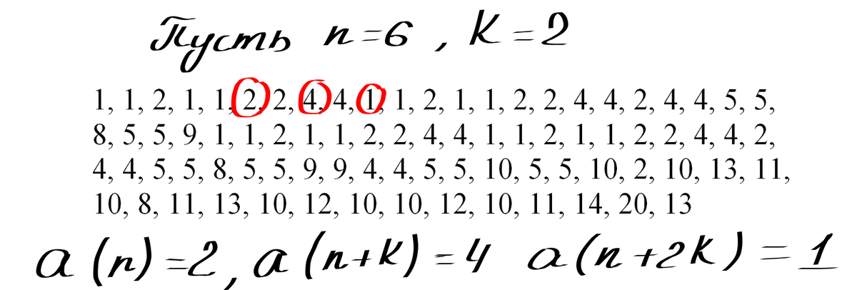
Для начала нам необходимо два произвольных натуральных числа n и k. Теперь кое-что попробуем:

-2

Так вот оказывается, что какие бы произвольные значения n и k мы не взяли, три члена последовательности из списка выше никогда не будут образовывать арифметическую прогрессию. Проще всего понять, если построить эту последовательность с самого начала:

-3

Смотрите, начинаем с двух единиц. Следующий член последовательности не должен образовывать арифметическую прогрессию с предыдущими, т.е. разница между членами не должна быть одинаковой, значит следующий член - 2.

Второй шаг так же прост, а в третьем начинается усложнение: теперь нам нужно не только обращать внимание на соседей, но и на члены, расположенные симметрично. Их разность тоже не должна быть равна. Но это еще не всё, залезем немного поглубже:

-4

Чтобы ответить на вопрос, каким будет восьмой член в последовательности лесного пожара мы рассмотрели и откинули три варианта - 1,2,3, а значит новым членом будет минимальное число, при котором рассмотренные нами тройки чисел не образуют арифметическую прогрессию - 4.

Эй, а где красота ?

Последовательность лесного пожара может Вам не нравиться с математической точки зрения, но с эстетической точки зрения её визуализация легко могла бы занять место в картинной галерее:

Источник: https://oeis.org/A229037/a229037.jpg
Источник: https://oeis.org/A229037/a229037.jpg

Не правда ли, напоминает распространяющийся лесной пожар? А может это - не случайность? В который раз удивляешься, какие загадки хранит царица наук! Спасибо за внимание!

Читайте также:

Наука
7 млн интересуются