Добавить в корзинуПозвонить
Найти в Дзене
Мотошкола.ру

Мотоцикл в повороте

Одноколейное транспортное средство, которым является мотоцикл поворачивает за счет наклона. Хотя, конечно, это слишком упрощенное выражение. Мотоцикл в движении, будь то прямолинейном или в повороте находится в состоянии равновесия, где центробежная сила компенсирует силу тяжести. Проще говоря, наклоненный мотоцикл не падает потому что, сила, которая его хочет уронить на землю (гравитация) уравновешена силой, которая его хочет вытолкнуть наружу (центробежная). И это работает всегда, на любой скорости, отличной от нуля. Когда вы только начинаете ездить на мотоцикле, или велосипеде, то вы всегда поворачиваете руль в ту сторону, куда мотоцикл падает, тем самым компенсируя одну силой другой (контрруление) Если сила тяжести в нашем варианте константа, то центробежная может изменяться. Вернее мы можем ее изменять разными способами, например изменением линейной скорости и радиуса поворота, смещением центра тяжести, относительно которого силы, в тч и гравитации действуют на мотоцикл. Способо

Одноколейное транспортное средство, которым является мотоцикл поворачивает за счет наклона. Хотя, конечно, это слишком упрощенное выражение. Мотоцикл в движении, будь то прямолинейном или в повороте находится в состоянии равновесия, где центробежная сила компенсирует силу тяжести.

Проще говоря, наклоненный мотоцикл не падает потому что, сила, которая его хочет уронить на землю (гравитация) уравновешена силой, которая его хочет вытолкнуть наружу (центробежная). И это работает всегда, на любой скорости, отличной от нуля. Когда вы только начинаете ездить на мотоцикле, или велосипеде, то вы всегда поворачиваете руль в ту сторону, куда мотоцикл падает, тем самым компенсируя одну силой другой (контрруление) Если сила тяжести в нашем варианте константа, то центробежная может изменяться. Вернее мы можем ее изменять разными способами, например изменением линейной скорости и радиуса поворота, смещением центра тяжести, относительно которого силы, в тч и гравитации действуют на мотоцикл. Способов, которыми можно наклонять мотоцикл, несколько и применяться они могут как по отдельности, так и в совокупности, в зависимости от скорости мотоцикла, его угла наклона в текущий момент и непосредственной задачи – увеличения наклона, выравнивания, удержания баланса в наклоне или корректировки угла и, соответственно, траектории. В этой статье разберемся как ведет себя мотоцикл в наклоне, какие силы на него влияют и как это отражается на действиях и комфорте водителя.

Если мы говорим о движении по дорогам общего пользования на гражданском мотоцикле, то значения углов наклона и значения скоростей для рассматриваемых свойств должны удовлетворять ряду условий:

Во-первых, скорость движения не должна быть намного выше установленных лимитов. Типичное ДТП с участием мотоциклистов происходит в диапазоне 30-80 км/ч, поэтому стоит рассматривать поведение мотоцикла именно на таких скоростях.

Во-вторых, безопасные углы наклона обычного дорожного мотоцикла особенно в условиях неоднородного или некачественного дорожного покрытия не должны превышать значений 30-40 градусов. К тому же, всегда следует учитывать коэффициент сцепления шин, который зависит от их температуры, давления, степени изношенности, влажности и структуры асфальта.

Основная задача мотоциклиста – безопасно проехать из точки А в точку Б. При увеличении скоростей и углов меняется подход в применении способов наклона и удержания баланса. В рассматриваемых условиях основной способ удержания баланса в наклоне, сам наклон и выравнивание – это усилие, приложенное к рулю – контрруление. Все остальные способы по изменению угла наклона мотоцикла являются дополнительными и лишь только помогают уменьшить усилия, приложенные к рулю, не более.

Во время поворота, находясь в наклоне мотоцикл может стремиться выровняться, завалиться или вести себя нейтрально. То есть для того, чтобы удерживать равновесие, или в данном случае определенный угол наклона, водитель может прикладывать усилия к рулю в направлении поворота, в обратном направлении или не прикладывать вообще.

Поведение мотоцикла в повороте можно представить следующими характеристиками:

-мотоцикл сохраняет угол наклона без вмешательства водителя - нейтральная поворачиваемость;

-мотоцикл стремится выровняться - недостаточная поворачиваемость;

-мотоцикл стремится завалиться внутрь поворота - избыточная поворачиваемость;

На мотоцикл в наклоне действуют одновременно: момент, создаваемый центробежной силой, которая стремится уменьшить угол наклона и момент, создаваемый силой тяжести, которая, в свою очередь его наклоняет

Для упрощения предположим, что

- мотоцикл движется в повороте постоянного радиуса с постоянной скоростью

- гироскопический эффект ничтожен

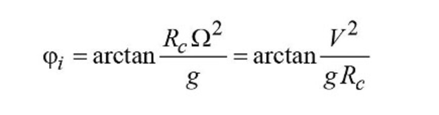
Предположив, что толщина поперечного сечения шин равна нулю, равновесие моментов позволяет выразить угол наклона через линейную скорость V и радиус поворота Rc (радиус поворота в этом случае измеряется от центра тяжести до оси поворота):

-2

Где Ω угловая скорость. Соответственно, линейная скорость равна произведению угловой скорости на радиус поворота: V = ΩRc

Поскольку мы рассматриваем пример, где мотоцикл находится в равновесии, то равнодействующая центробежной силы и силы тяжести проходит через линию, соединяющую точки контакта шин с дорожной поверхностью. Эта линия лежит в плоскости мотоцикла, если колеса имеют нулевую толщину и углом поворота руля можно пренебречь. В действительности, угол поворота руля не равен нулю никогда и передняя точка контакта немного смещается в сторону относительно плоскости задней сборки или, другими словами, плоскости самого мотоцикла, а линия, соединяющая точки контакта шин, не совпадает с этой плоскостью. Прошу обратить внимание, что она не совпадает с плоскостью именно задней части мотоцикла. Вилка, руль и переднее колесо – отдельная часть.

Теперь рассмотрим мотоцикл с шинами толщиной 2t, который описывает тот же радиус поворота Rc при той же угловой скорости Ω. Так как толщина шин не равна нулю, то фактический угол наклона ϕ, необходимый для равновесия, немного больше геометрического ϕi.

ϕ = ϕi + ∆ ϕ

-3

Приращение ∆ϕ можно выразить уравнением

-4

То есть фактический угол наклона можно выразить так:

-5

Уравнение показывает, что ∆ϕ увеличивается как по мере увеличения угла наклона и радиуса поперечного сечения шин, так и по мере уменьшения высоты центра тяжести h. Поэтому использование широких шин вынуждает водителя использовать бОльшие углы наклона по отношению к углу, необходимому для мотоцикла с шинами меньшего поперечного сечения. Кроме того, при равных поперечных сечениях шин, описывающих один и тот же поворот с одинаковой скоростью движения, мотоцикл с низким центром тяжести должен быть наклонен больше, чем мотоцикл с более высоким центром тяжести.

Угол наклона мотоцикла на повороте в значительной степени зависит от положения водителя. Наклоняясь относительно мотоцикла, водитель тем самым может изменять положение центра тяжести всей системы. Рассмотрим возможные варианты. Если водитель наклоняется на тот же угол, что и мотоцикл, то положение центра тяжести всей системы остается неизменным.

-6

В таком случае у водителя есть возможность корректировки угла наклона мотоцикла относительно корпуса на протяжении всего поворота в обоих направлениях – в сторону увеличения наклона и наоборот.

Если водитель отклоняется в противоположную от поворота сторону, то центр тяжести системы также смещается к внешней стороне поворота. В результате, на одной и той же скорости и при одном и том же радиусе поворота, ему приходится наклонить мотоцикл немного больше - ∆α. С одной стороны, это может отрицательно сказаться на держаке, но в условиях городского трафика (до 60-80 км/ч), на гражданском мотоцикле, на относительно небольших углах наклона (до 30-40 градусов), это не имеет никакого, хоть немного значимого негативного эффекта. Мало того, мы не должны упускать из виду, что одним из способов наклона мотоцикла, особенно на низких скоростях, является работа корпусом, и такое положение тела в повороте может являться результатом именно такого воздействия корпуса на мотоцикл.

-7

Если водитель наклоняет туловище в сторону внутренней части поворота и одновременно поворачивает ногу так, чтобы она почти касалась земли коленом, ему удается уменьшить угол наклона мотоцикла. Такое положение тела позволяет существенно уменьшить угол наклона мотоцикла при прохождении поворота или, другими словами, позволяет в одном и том же повороте, с одним и тем же углом наклона мотоцикла пройти поворот на бОльшей скорости. Такой прием оправдан когда задача состоит в том, чтобы пройти поворот быстрее и когда нет предпосылок для корректировки траектории внутри поворота. К тому же корректировка траектории на больших углах наклона, где используется такое положение тела подразумевает использование других способов (trailbraking, упор на колено)

-8

Но, вернемся к основному способу изменения угла наклона мотоцикла – контррулению. Контрруление позволяет держать равновесие в прямолинейном движении на любой скорости,  выводить мотоцикл из состояния равновесия и наклонять его в требуемую сторону и поддерживать мотоцикл в наклоне в состоянии равновесия. Все что требуется от водителя мотоцикла в данных условиях – прикладывать усилие к рулю разной направленности и силы.

Поведение мотоцикла в наклоне зависит от различных геометрических параметров, таких как: величина колесной базы, оффсет (расстояние между центром переднего колеса и плоскостью, в которой лежит ось рулевой колонки), угол наклона рулевой колонки, радиусы колес и радиусы поперечного сечения шин и от распределения массы и жесткости шин. Свойства шин, в частности, очень важны, поскольку угол поворота руля сильно зависит от разницы между углами бокового скольжения.

Угловую скорость мотоцикла правильнее всего выражать через линейную скорость заднего колеса:

-9

В знаменателе здесь расстояние от центра поворота до пятна контакта заднего колеса.

Если предположить, что колеса не пробуксовывают относительно дорожного полотна (продольно, в направлении движения), то скорость вращения колес ω можно выразить через линейную скорость мотоцикла V, его угол наклона ϕ и угол поворота руля (в данном случае это кинематический угол, а не фактический)

-10

В действительности же в фазах разгона и торможения всегда происходит продольное скольжение заднего колеса. В фазе торможения наблюдается значительное проскальзывание переднего колеса, в условиях без разгона и торможения проскальзывание происходит за счет сопротивления качению. Важно отметить, что при одной и той же линейной скорости угловая скорость колес увеличивается по мере наклона, поскольку уменьшается расстояние между пятном контакта и осью колеса.

Давайте рассмотрим мотоцикл в равновесном состоянии поворота (ни в процессе наклона, ни в процессе выравнивания). В идеальных условиях вектор скорости каждого из колес лежит в плоскости колеса и берет начало из его центра. Как только начинается боковое скольжение, то вектор не совпадает с плоскостью и между ними образуется угол, называемый углом бокового скольжения λ .

-11

Когда углы бокового скольжения равны нулю, то фактический угол поворота руля равен кинематическому. Силы реакции опоры в точках контактов каждого из колес зависят от углов бокового скольжения шин, угла наклона мотоцикла и вертикальных нагрузок. Эти силы могут быть выражены следующими линейными выражениями, когда углы скольжения и наклона малы

-12

Константа k (выраженная в радианах-1) представляет собой коэффициенты жесткости шин

коэффициент жесткости на прогиб

коэффициент жесткости на изгиб

С увеличением жесткости уменьшается угол бокового скольжения.

Фактический угол поворота руля * можно выразить через кинематический и углы скольжения для переднего и заднего колес:

-13

Или через кинематический угол и углы наклона рулевой колонки ε и наклона мотоцикла φ.

Радиус поворота, описываемого траекторией заднего колеса, также зависит от углов бокового скольжения и кинематического угла поворота руля:

-14

Где p колесная база.

На небольших углах наклона мотоцикла, когда мал угол поворота руля и углы бокового скольжения колес можно для упрощения использовать формулу:

-15

То есть радиус поворота (для заднего колеса) это отношение колесной базы к углу поворота руля.

Вернемся к поведению мотоцикла, находящегося в наклоне. Как уже говорили выше, он может стремиться к завалу, к выравниванию или оставаться в наклоне, если не прикладывать внешних усилий – нейтральная поворачиваемость. Фактический угол поворота Δ* равен кинематическому углу поворота Δ, выбранному водителем, если углы бокового скольжения обоих колес равны.

В этом случае рулевая система имеет “нейтральное " поведение, то есть, если в повороте отпустить руки, то мотоцикл продолжит движение по заданной траектории. В других случаях, когда фактический угол поворота руля больше или меньше кинематического, то мотоцикл будет стремиться либо завалиться, либо выровняться.

Поведение рулевого управления, или другими словами – поворачиваемость, может быть выражено с помощью коэффициента рулевого управления ξ:

-16

Другими словами, это отношение кинематического (или виртуального) радиуса поворота для заднего колеса к фактическому или отношение фактического угла поворота руля к кинематическому и зависит от соотношения углов бокового скольжения переднего и заднего колес

Если это отношение равно единице, то мотоцикл имеет нейтральную поворачиваемость. При этом углы бокового скольжения переднего и заднего колес равны λf = λr

Если ξ > 1, то мотоцикл стремится завалиться и водителю требуется создавать усилие на руле для удержания мотоцикла в наклоне. λf > λr  это избыточная поворачиваемость.

Если ξ < 1, то мотоцикл наоборот стремится выпрямиться, λf < λr  это недостаточная поворачиваемость.

Если мотоцикл в повороте стремится выровняться, то водителю для корректировки траектории и удержания мотоцикла в наклоне требуется прикладывать усилие к рулю, что вызывает увеличение силы реакции опоры на переднем колесе. Когда усилие на руле становится значительным, сила, необходимая для удержания равновесия, может превысить максимальную силу трения между передней шиной и плоскостью дороги, в результате чего колесо соскальзывает и мотоцикл падает. Мотоцикл с недостаточной поворачиваемостью более опасен, чем с избыточной.

Тут необходимо уточнить, что все вышесказанное относится к равновесному повороту, т. е. к мотоциклу с постоянной скоростью и радиусом. В переходном движении, в повороте с изменяющейся скоростью и радиусом кривизны, усилия, приложенные к рулю, будут существенно отличаться от таковых, рассчитанных в описанном состоянии, особенно если изменения скорости и траектории происходят внезапно. Также следует отметить, что с ростом скорости, увеличиваются углы бокового скольжения и поведение мотоцикла в повороте может меняться.  Направление усилий, приложенных к рулю, также может изменяться с изменением скорости. Например, на одном и том же мотоцикле на низкой скорости водителю приходится удерживать руль, стремящийся довернуть в сторону наклона, но с ростом скорости ему приходится изменять направление усилий – наоборот поворачивать руль в сторону от поворота для наклона. С изменением угла наклона мотоцикла усилие приложенное к рукояткам руля тоже может менять знак. До определенно угла наклона водителю приходится рулить от поворота, преодолевая сопротивление мотоцикла (недостаточная поворачиваемость), а после прохождения этого угла, наоборот прикладывать усилие в сторону поворота, преодолевая избыточную поворачиваемость.

Величина усилия (не знак), приложенного к рулю зависит от многих параметров, в том числе, геометрических особенностей мотоцикла. В таблице ниже представлены эти параметры и примерная степень их влияния на рулевое усилие:

-17

( + ) угол поворота руля имеет тенденцию к уменьшению. Чтобы нейтрализовать этот эффект, водитель должен поворачивать руль в сторону поворота. Если усилие было направлено в противоположную сторону, то его значение становится меньше.

( - ) угол поворота руля имеет тенденцию к увеличению. Водитель должен рулить от поворота, чтобы противодействовать. При таком направлении усилия, его значение увеличивается.

Мотоцикл в условиях движения по дорогам общего пользования должен иметь достаточный запас по углу наклона и коэффициенту сцепления шин с дорожным покрытием. Скорость и угол наклона мотоцикла должны быть такими, чтобы водитель имел возможность не только избежать падения в повороте, но и остановиться в нем, если это потребуется.

Мотошкола.ру Vittore Cossalter