Добавить в корзинуПозвонить
Найти в Дзене
НАУКА из первых рук

Как измерить стресс и для чего это нужно

Распространенное мнение о том, что «стресс у человека в голове» и достаточно просто расслабиться, чтобы он сам собой исчез, неверно. На самом деле стресс существует объективно, у него есть физические носители – это множество молекул, активность и количество которых может возрастать во время стресса. К счастью, есть и антистрессовые молекулы. С точки зрения ученого, самое ужасное, что можно сказать про стресс – это то, что у нас пока нет никакого объективного способа его измерить. Измерять количество каждой стресс-молекулы по отдельности нет смысла, потому что у разных людей или в разных случаях может быть, например, большой стресс по молекуле А и маленький по молекуле Б. Нужен какой-то интегральный показатель. А измерять стресс нужно, чтобы мы, наконец, научились понимать, что же происходит с нашим организмом, когда мы переживаем те или иные события Молекулярную основу стресса составляют активные формы кислорода: это высокореактивные соединения, повреждающие клеточны

Распространенное мнение о том, что «стресс у человека в голове» и достаточно просто расслабиться, чтобы он сам собой исчез, неверно. На самом деле стресс существует объективно, у него есть физические носители – это множество молекул, активность и количество которых может возрастать во время стресса. К счастью, есть и антистрессовые молекулы. С точки зрения ученого, самое ужасное, что можно сказать про стресс – это то, что у нас пока нет никакого объективного способа его измерить. Измерять количество каждой стресс-молекулы по отдельности нет смысла, потому что у разных людей или в разных случаях может быть, например, большой стресс по молекуле А и маленький по молекуле Б. Нужен какой-то интегральный показатель. А измерять стресс нужно, чтобы мы, наконец, научились понимать, что же происходит с нашим организмом, когда мы переживаем те или иные события

Молекулярную основу стресса составляют активные формы кислорода: это высокореактивные соединения, повреждающие клеточные макромолекулы – ​белки и ДНК. Стресс пропорционален уровню активных форм кислорода, который может увеличиваться или снижаться в зависимости от общего состояния клетки. Заметьте, здесь мы говорим о клеточном стрессе, однако у стресса в нашем обычном понимании, т. е. классического стресса по концепции Г. Селье, тоже есть физические носители. Эти носители вызывают рост уровня активных форм кислорода, а значит, и клеточный стресс.

Такой стресс «распределяется» в нашем теле неравномерно. Иногда его можно наблюдать в одной отдельно взятой ткани, при этом другая остается в полном порядке. Например, гипоксическое состояние, сопровождающее мигрень, является стрессом для тканей мозга, а вот ноги при этом могут и не страдать. Но если человеку пришлось много бегать без привычки, у него пострадают ноги, но не голова.

Боль – ​это тоже стресс. Вообще, если вы чувствуете себя плохо: – ​вас тошнит или шея болит – значит, у вас стресс, даже если нет видимых повреждений в организме. Скажу больше: если на вас кричит начальник (или свекровь), эти люди наносят тканям вашего мозга вполне реальные повреждения, которые можно измерить количественно. От громкого, эмоционально окрашенного звука в тканях мозга повышаются уровни активных форм кислорода, а от этого, в свою очередь, страдают и нейроны, и питающие их астроциты, и эндотелий кровеносных сосудов. Есть хорошая модель стресса для мыши, когда подопытное животное на несколько часов сажают в узкую пластмассовую трубку и тем самым обездвиживают. При этом мышь никак не «повреждают» физически, но у нее возникает чудовищный стресс, и если с животным поступить так неоднократно, оно погибнет.

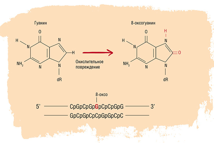
Наиболее чувствительной мишенью в составе ДНК для активных форм кислорода является азотистое основание гуанин, а продукт этой реакции – 8-оксогуанин – считается одним из основных биомаркеров окислительного повреждения ДНК
Наиболее чувствительной мишенью в составе ДНК для активных форм кислорода является азотистое основание гуанин, а продукт этой реакции – 8-оксогуанин – считается одним из основных биомаркеров окислительного повреждения ДНК

Ученые подбираются к объективной оценке стресса уже давно. Говоря в общем, уровень стресса можно измерить, отслеживая в крови разные активные формы кислорода и другие окислители, поврежденные белки и ДНК, а также различные компоненты наших собственных антиоксидантных систем. К сожалению, каждая из этих молекул, в совокупности называемых биомаркерами стресса, отражает какой-то один аспект этого феномена, но не стресс в целом. Кроме того, для объективной оценки каждого из этих параметров, в какой-то степени отражающих общий уровень стресса, надо сдавать кровь в лаборатории, и никто не будет делать это каждый день. Мы нашли способ делать это легко и просто, так, чтобы каждый человек мог ежедневно и ежечасно следить за уровнем стресса в своем организме...

Читать далее