Найти в Дзене
Войти
1,0×
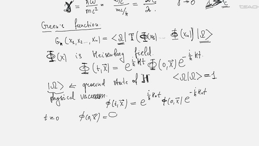
Арутюнов Г.Э. - Modern QFT - 12. Green's Functions in QFT
11 просмотров · 11 месяцев назад
00:00
/
01:27:02
Teach-In
12,6 тыс подписчиков
Подписаться
Хотите видеть больше публикаций по теме «Образование»?
Давайте
Наука
7 млн интересуются
Следить за темой
55584858.1004.1777509517205.13502