Найти в Дзене
Войти
1,0×
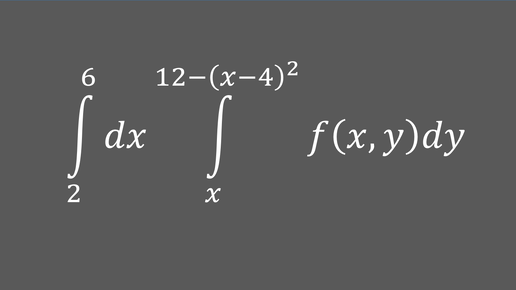
Как расставить пределы интегрирования в двойном интеграле
419 просмотров · 6 месяцев назад
00:00
/
13:50
Математические Мульты
389 подписчиков
Подписаться
Хотите видеть больше публикаций по теме «Образование»?
Давайте
Наука
7 млн интересуются
Следить за темой
663200271.1582.1765843514367.87525