Найти в Дзене
Войти
1,0×
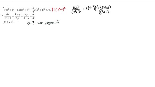
Система с параметром, Ларин 494
184 просмотра · 1 год назад
00:00
/
26:25
Математика для хомяков
3038 подписчиков
Подписаться
Хотите видеть больше публикаций по теме «Образование»?
Давайте
Наука
7 млн интересуются
Следить за темой
3752607079.883.1776782112437.77166