Найти в Дзене
Войти
1,0×
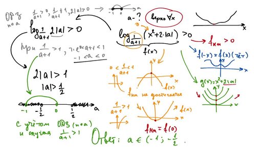
Неравенство с параметром, Ларин 492
735 просмотров · 1 год назад
00:00
/
09:46
Математика для хомяков
3057 подписчиков
Подписаться
Хотите видеть больше публикаций по теме «Образование»?
Давайте
Наука
7 млн интересуются
Следить за темой
1353711287.946.1777346926104.27987