Найти в Дзене
Войти
1,0×
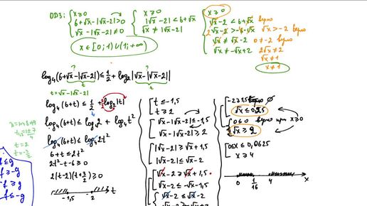
Неравенство с модулем. Ларин 488
689 просмотров · 1 год назад
00:00
/
16:11
Математика для хомяков
3016 подписчиков
Подписаться
Хотите видеть больше публикаций по теме «Образование»?
Давайте
Наука
7 млн интересуются
Следить за темой
4115969453.877.1775257216153.60840