Найти в Дзене
Войти
1,0×
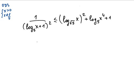
Логарифмическое неравенство (Ларин 485)
615 просмотров · 1 год назад
00:00
/
17:40
Математика для хомяков
3041 подписчиков
Подписаться
Хотите видеть больше публикаций по теме «Образование»?
Давайте
Наука
7 млн интересуются
Следить за темой
89860285.833.1776901303135.88531