Найти в Дзене
Войти
1,0×
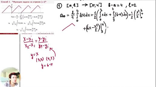
Примеры разложения в ряд Фурье
216 просмотров · 10 месяцев назад
00:00
/
01:17:25
Математика для хомяков
2928 подписчиков
Подписаться
Хотите видеть больше публикаций по теме «Образование»?
Давайте
Наука
7 млн интересуются
Следить за темой
3785792931.2006.1772058014398.67490