Найти в Дзене
Войти
1,0×
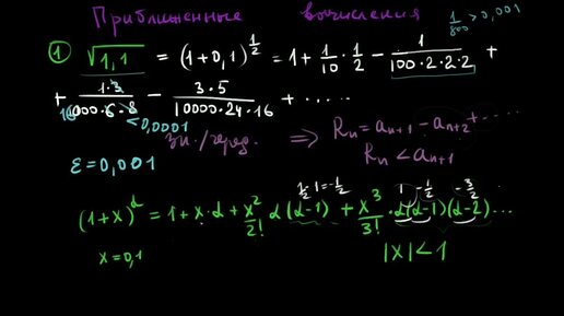
Как считать корни из некрасивых чисел с помощью разложения в ряд
481 просмотр · 9 месяцев назад
00:00
/
28:18
Математика для хомяков
2820 подписчиков
Подписаться
Хотите видеть больше публикаций по теме «Наука»?
Давайте
Наука
7 млн интересуются
Следить за темой
2337875327.1779.1761785126314.23641