Найти в Дзене
Войти
1,0×
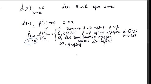
Как сравнивать бесконечно малые и бесконечно большие величины
253 просмотра · 11 месяцев назад
00:00
/
27:13
Математика для хомяков
3040 подписчиков
Подписаться
Хотите видеть больше публикаций по теме «Наука»?
Давайте
Наука
7 млн интересуются
Следить за темой
3451311441.941.1776882499161.78794