Найти в Дзене
Войти
1,0×
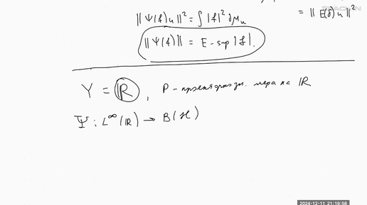
Толченников А.А.- Спектральная теория операторов- 9. Интеграл по спектральной мере от неогр. функций
23 просмотра · 1 год назад
00:00
/
01:27:34
Teach-In
12,6 тыс подписчиков
Подписаться
Хотите видеть больше публикаций по теме «Образование»?
Давайте
Наука
7 млн интересуются
Следить за темой
1231360329.950.1776601819596.16533