Найти в Дзене
Войти
1,0×
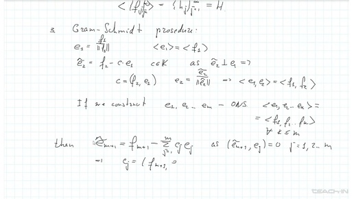
Шейпак И.А. - Функциональный анализ и теория операторов - 4. Separable Hilbert Spaces
25 просмотров · 1 год назад
00:00
/
01:18:25
Teach-In
12,6 тыс подписчиков
Подписаться
Хотите видеть больше публикаций по теме «Образование»?
Давайте
Наука
7 млн интересуются
Следить за темой
1725883881.988.1776725963645.20095