Найти в Дзене
Войти
1,0×
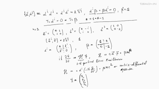
Арутюнов Г.Э. - Принципы КТП - 10. The Dirac Equation and Lorentz Transformations
24 просмотра · 1 год назад
00:00
/
01:51:01
Teach-In
12,6 тыс подписчиков
Подписаться
Хотите видеть больше публикаций по теме «Образование»?
Давайте
Наука
7 млн интересуются
Следить за темой
2500908459.855.1776968885656.38744