Найти в Дзене
Войти
1,0×
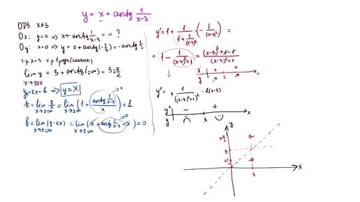
Исследование функции (разрыв - скачок)
133 просмотра · 11 месяцев назад
00:00
/
22:12
Математика для хомяков
2824 подписчиков
Подписаться
Хотите видеть больше публикаций по теме «Наука»?
Давайте
Наука
7 млн интересуются
Следить за темой
4250155480.1766.1762158782294.61003