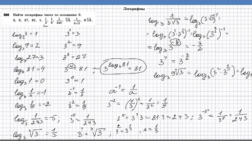
Как найти логарифмы от чисел? №266, 267, 268, 269, 270, 271 алгебра 10 класс учебник Ш. А. Алимова, Ю.М. Колягина и др.