Найти в Дзене
Войти
1,0×
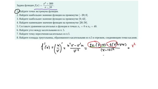
Разбор типовика. Математика, экстремумы, касательные
146 просмотров · 12 месяцев назад
00:00
/
58:23
Математика для хомяков
2813 подписчиков
Подписаться
Хотите видеть больше публикаций по теме «Образование»?
Давайте
Наука
7 млн интересуются
Следить за темой
3451311441.1881.1760446975189.61210