Найти в Дзене
Войти
1,0×
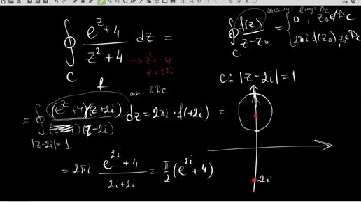
Интегрирование комплексной функции
190 просмотров · 2 года назад
00:00
/
28:39
Математика для хомяков
2917 подписчиков
Подписаться
Хотите видеть больше публикаций по теме «Наука»?
Давайте
Наука
7 млн интересуются
Следить за темой
1671536024.2011.1771642054501.71192