Найти в Дзене
Войти
1,0×
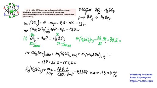
Разбавление олеума. Расчет массовой доли кислоты.
247 просмотров · 2 года назад
00:00
/
01:46
Репетитор химии Елена Шарифулина
559 подписчиков
Подписаться
Хотите видеть больше публикаций по теме «Наука»?
Давайте
Наука
7 млн интересуются
Следить за темой
4250155480.994.1776731783942.71418