Найти в Дзене
Войти
1,0×
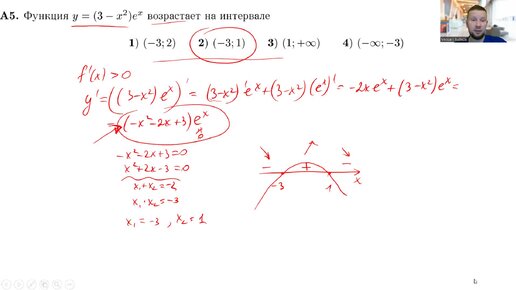
Определение участка возрастания функции (A5)
317 просмотров · 2 года назад
00:00
/
02:25
Михаил Рыбков
2297 подписчиков
Подписаться
Хотите видеть больше публикаций по теме «Наука»?
Давайте
Предел, производная
Подборка ·
Михаил Рыбков
· 23 из
27
Далее: Вычисление второй производной функции (A4)
Предел, производная
· 23 из
27
Наука
7 млн интересуются
Следить за темой
3777985357.1953.1766387040082.99780