Найти в Дзене
Войти
1,0×
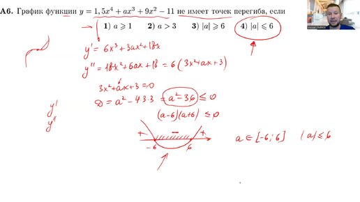
Определение параметра по второй производной функции (A6)
324 просмотра · 2 года назад
00:00
/
03:18
Михаил Рыбков
2265 подписчиков
Подписаться
Хотите видеть больше публикаций по теме «Наука»?
Давайте
Предел, производная
Подборка ·
Михаил Рыбков
· 22 из
27
Далее: Определение участка возрастания функции (A5)
Предел, производная
· 22 из
27
Наука
7 млн интересуются
Следить за темой
1914414622.1723.1760712304403.33078