Найти в Дзене
Войти
1,0×
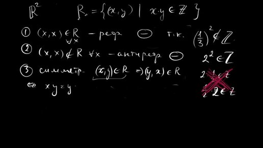
Свойства бинарных отношений
330 просмотров · 2 года назад
00:00
/
44:55
Математика для хомяков
3106 подписчиков
Подписаться
Хотите видеть больше публикаций по теме «Наука»?
Давайте
Наука
7 млн интересуются
Следить за темой
1488197551.1312.1780001258070.10571