Найти в Дзене
Войти
1,0×
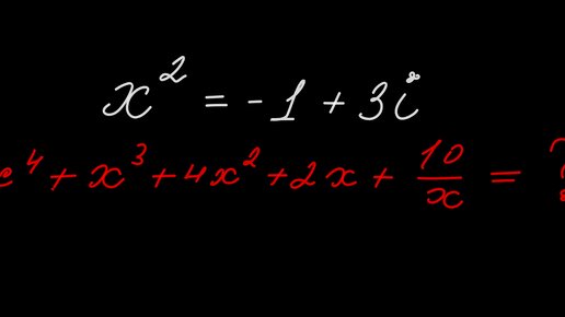
Простая задачка на приятные вычисления с комплексными числами
1385 просмотров · 3 года назад
00:00
/
03:06
Математика не для всех
68,8 тыс подписчиков
Подписаться
Хотите видеть больше публикаций по теме «Образование»?
Давайте
Наука
7 млн интересуются
Следить за темой
498174280.916.1775048658012.65854