Найти в Дзене
Войти
1,0×
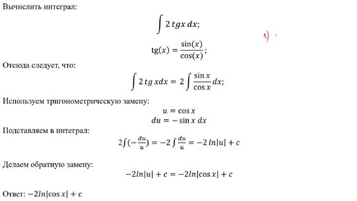
Вычисление неопределенного интеграла (Задача 4а)
299 просмотров · 3 года назад
00:00
/
02:17
Михаил Рыбков
2310 подписчиков
Подписаться
Хотите видеть больше публикаций по теме «Наука»?
Давайте
Семестр 2
Подборка ·
Михаил Рыбков
· 3 из
8
Далее: Определение интервалов выпуклости и вогнутости функции (Задача 3в)
Семестр 2
· 3 из
8
Наука
7 млн интересуются
Следить за темой
2529705577.1873.1771538091045.72140