Найти в Дзене
Войти
1,0×
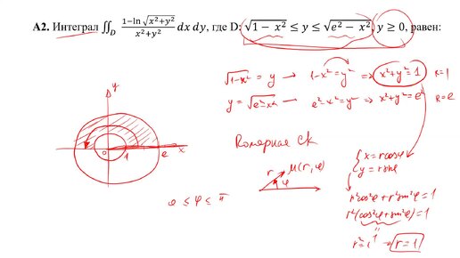
Вычисление интеграла в полярной системе координат (A2)
770 просмотров · 2 года назад
00:00
/
07:02
Михаил Рыбков
2267 подписчиков
Подписаться
Хотите видеть больше публикаций по теме «Наука»?
Давайте
Наука
7 млн интересуются
Следить за темой
3552684348.1634.1762060886427.81328