Найти в Дзене
Войти
1,0×
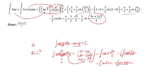
Вычисление площади фигуры в полярной системе координат (A4)
630 просмотров · 3 года назад
00:13
/
07:22
Михаил Рыбков
2304 подписчиков
Подписаться
Хотите видеть больше публикаций по теме «Наука»?
Давайте
Наука
7 млн интересуются
Следить за темой
3077637118.1140.1767754818291.84232