Найти в Дзене
Войти
1,0×
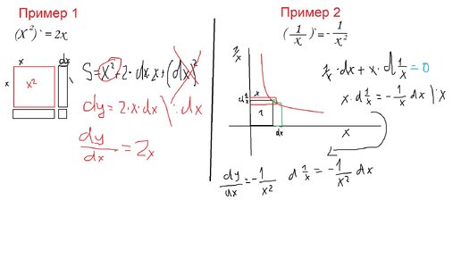
Вывод производной 1/x
991 просмотр · 3 года назад
00:00
/
17:19
Гидравлика & bim
1474 подписчиков
Подписаться
Хотите видеть больше публикаций по теме «Образование»?
Давайте
Наука
7 млн интересуются
Следить за темой
3552684348.1683.1766199427659.36258