Найти в Дзене
Войти
1,0×
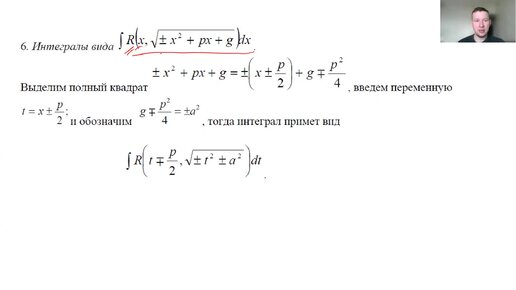
Неопределенный интеграл. Интегралы от иррациональностей (тригонометрические подстановки)
436 просмотров · 3 года назад
00:06
/
04:27
Михаил Рыбков
2312 подписчиков
Подписаться
Хотите видеть больше публикаций по теме «Образование»?
Давайте
Интегралы
Подборка ·
Михаил Рыбков
· 11 из
28
Далее: Неопределенный интеграл. Интегралы от иррациональностей (подстановка 1/(x-a) = t)
Интегралы
· 11 из
28
Наука
7 млн интересуются
Следить за темой
3785792931.2006.1772406617899.65663