Найти в Дзене
Войти
1,0×
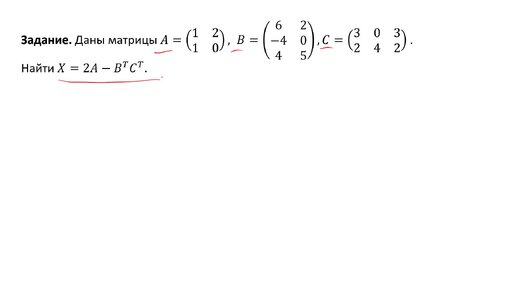
Выполнение алгебраических операций над матрицами: сумма, произведение, транспонирование (Задание 6)
908 просмотров · 3 года назад
00:00
/
03:22
Михаил Рыбков
2310 подписчиков
Подписаться
Хотите видеть больше публикаций по теме «Наука»?
Давайте
Семестр 1
Подборка ·
Михаил Рыбков
· 5 из
10
Далее: Определение значения параметра, при котором вектора компланарны (Задание 5)
Семестр 1
· 5 из
10
Наука
7 млн интересуются
Следить за темой
1342480941.2006.1771508684633.74387